3.9 Análise de Capacidade para Posição Real
Em muitas aplicações industriais, estamos interessados em avaliar a capacidade de um processo em produzir dentro de especificações sobre a posição de determinada característica. Por exemplo, quando realizamos um furo em uma peça temos um alvo espeficado (Target Position) para o centro desse furo. Em geral, a região de tolerância é uma circunferência centrada no alvo.
Com o objetivo de avaliar tal capacidade, Krishnamoorthi (1990) propõe uma dupla de índices, a saber, $PC_p$ e $PC_{pk}$. O índice $PC_p$ é uma medida de quanto a região de variabilidade natural do processo $(6\sigma)$ representa da região de tolerância. Por sua vez, $PC_{pk}$ é uma medida de distância entre o a média do processo e o alvo. Nesta proposição, Krishnamoorthi assume que o vetor aleatório formado pelas coordenadas da posição do processo são variáveis aleatórias com distribuição normal com variâncias iguais e independentes entre si.
9.1 - Índices de Capacidade para Posição Real: PCp e PCpk
Alguns processos multivariados possuem uma tolerância de engenharia especial, chamada de tolerância posicional. A tolerância posicional é um tipo de dimensionamento geométrico que descreve a região de tolerância entre a localização real dos resultados de saída do processo e a localização alvo. Em geral, essa região de tolerância é dada por um círculo. Por exemplo, considere uma chapa de aço no qual devemos fazer um furo no centro. O centro da chapa é determinado pelas coordenadas $(x,y)$, que é uma característica bi-dimensional. Neste caso, a especificação de posicionamento deste furo é determinada por um círculo. Estas características da qualidade são denominadas “Posição Real” (“True Position”). A seguir, apresentaremos a estratégia proposta por Krishnamoorthi (1990) para avaliar a capacidade de tais tipos de processos.
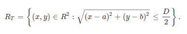
Suponha que estamos interessados em avaliar a capacidade de um processo de produção em relação a uma característica que possui tolerância posicional. Suponha que as especificação da posição alvo (“target position”) é ${\bf TP}=(a,b)$ e que temos uma região tolerância circular $R_T$ de diâmetro $D \in R$ em torno de ${\bf TP}$. A figura 1 ilustra essa situação.
(imagem em falta)
Figura 9.1.1: Elementos geométricos de um processo sujeito a tolerância posicional.
Note que, neste caso, $R_{T}$ é definida por:

Definimos:
- X: variável aleatória que representa a coordenada da característica de interesse no eixo x;
- Y: variável aleatória que representa a coordenada da característica de interesse no eixo y.
- Consequentemente, P=(X,Y)T é o vetor aleatório que representa a posição da característica de interesse.
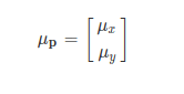
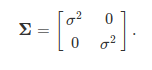
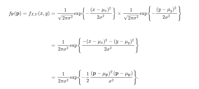
Nesta técnica, supomos que o vetor aleatório ${\bf P}=(X,Y)^T$, segue distribuição normal bivariada com vetor de médias

e matriz de variâncias e covariâncias

Dessa forma

Ou seja, supomos que as coordenadas seguem distribuição normal, com variâncias iguais e são independentes. Utilizando este modelo, Krishnamoorthi propõe um índice formado por duas componentes para avaliar a capacidade do processo. Estas componentes serão apresentadas a seguir.
$PC_p$ - Positional $C_p$
Nesta componente estamos interessados em avaliar a área da região de variabilidade natural do processo $R_{V}$, em relação a área da região de tolerância $R_{T}$. Assumimos que o vetor de médias ${\bf \mu_p}$ coincide com $\bf TP$. A figura 2 exemplifica essa suposição.
(imagem em falta)
Figura 9.1.2: Ilustração do comportamento de um processo centrado no alvo.
Além disso, sob as suposições apresentadas anteriormente, a região de variabilidade natural do processo, em que esperamos que 99,73% das obsevações estejam contidas, pode ser definida como:

Deste modo,
$$\text{Área} \left( R_{V} \right)=\pi r^2=\pi \left(3\sigma\right)^2 = 9\pi \sigma^2$$
$$\text{Área} \left( R_{T} \right)=\pi r^2=\pi \left(\frac{D}{2}\right)^2 = \frac{\pi D^2}{4} $$
Nestas circustâncias, Krishnamoorthi propõe a primeira componente do índice de capacidade $PC_p$ (positional $C_p$) como:
$$PC_p=\frac{\text{Área} \left( R_{T} \right)}{\text{Área} \left( R_{V} \right)}=\frac{\dfrac{\pi D^2}{4}}{9\pi\sigma^2} =\frac{D^2}{36\sigma^2}.$$
Note que quando:
- PCp = 1 ⇒ área da variação natural do processo é igual da área de tolerância;
- PCp > 1⇒ área de variação natural é menor que a área de tolerância;
- PCp < 1⇒ área de variação natural é maior que a área de tolerância.
Dessa forma, valores maiores de $PC_p$ indicam melhor capacidade do processo produzir com menor variabilidade que variabilidade especificada para a posição de interesse. Usualmente assumimos que o processo é capaz se $PC_p > 1.33$, porém, cada processo tem necessidades diferentes, dessa forma, cada processo deve ser analisado de maneira diferente.
$PC_{pk}$ - Positional $C_{pk}:$
Nesta componete avaliamos a distância entre a média do processo e o alvo especificado. Consideramos agora que elas não coincidam, ou seja, ${\bf \mu_p} \neq {\bf TP}$. A figura (3) exemplifica essa nova situação.
(imagem em falta)
Figura 9.1.3: Ilustração do comportamento de um processo não centrado no alvo.
A componete $PC_{pk}$ (Positional $C_{pk}$) é definida como:
$$PC_{pk}=\dfrac{\dfrac{\pi D^2}{4}}{\pi \left[ \sqrt{(\mu_x-a_1)^2 + (\mu_y-a_2)^2} + 3\sigma \right]^2}= \dfrac{D^2}{4 \left[ \sqrt{(\mu_x-a_1)^2 + (\mu_y-a_2)^2} + 3\sigma \right]^2}.$$
Note que quando ${\bf \mu_p}={\bf{TP}}$ temos que $PC_p=PC_{pk}$. Como para $PC_p$, usualmente buscamos $PC_{pk}> 1.33$. Quando satisfazemos essa exigência, ${\bf \mu_p}$ está próximo de ${\bf TP}$. Além disso, garantimos que a área da região de variabilidade natural do processo seja menor que a área da região de tolerância especificada.
Observações Gerais
- Valores altos de Cp pareados com valores baixos de Cpk indicam que o processo apresenta variabilidade aceitável, porém, não está sua média está distante do alvo;
- Neste índice, assumimos que X e Y têm distribuição normal com variâncias iguais e são independentes. Essas suposições devem ser checadas para evitar conclusões erroneas;
- Na prática, em geral, não conhecemos as médias e variância populacionais. Utilizamos os etimadores μpˆ=(X¯,Y¯), S2x e S2y para σ2;
- Assumimos que as variância são iguais, porém, os estimadores S2x e S2y podem ser diferentes. É recomendável utilizar o maior entre os estimadores (caso mais conservador).
Exemplo 9.1.1
Considere que estamos interessados em avaliar a capacidade de um processo de produção de um pistão. Nossa característica de interesse é a posição do centro do furo superior da peça em relação as laterais nos eixos $x$ e $y$. A figura 4 ilutra um desenho da vista isométrica deste pistão.
(imagem em falta)
Figura 9.1.4: Desenho vista Isométrica do pistão.
A figura 5 ilustra o desenho de corte da visão superior do pistão, bem como suas especificações em relação aos eixos cartesianos de interesse
(imagem em falta)
Figura 9.1.5: Desenho do corte da visão superior do pistão.
Analisando as dimensões da peça em relação aos pontos do plano temos que o alvo está localizado no ponto $y=30$ e $x=30$, ou seja ${\bf{TP}}=(30,30)$. Além disso, o diametro de tolerância é de 2, isto é, $D=2$. Definimos a região de tolerância ($R_{T}$) como os pontos internos ao círculo de diâmetro $D$ e centro em ${\bf TP}$. Isto é
$$R_{T}={(x,y) \in R^2 : \sqrt{(x-30)^2+(y-30)^2} \leq 1}$$
Definimos também
- X: variável aleatória que representa a coordenada do centro do furo do pistão no eixo x;
- Y: variável aleatória que representa a coordenada do centro do furo do pistão no eixo y;
- P=(X,Y)$^T$: O vetor aleatório que representa a posição do centro do furo do pistão.
Para esse estudo, foram coletados 50 pistões e uma medição foi feita em cada. Os dados coletados são apresentados a seguir:



Neste caso, temos que:
$$\widehat{\mu}_x=\bar{X}= \frac{30,372+30,068+\dots + 30,289}{50}=30,01786$$
$$\widehat{\mu}_y=\bar{Y}= \frac{30,980+30,596+\dots + 31,172}{50}=30,55766$$
$$S_X = \sqrt{\frac{(30,372-30,01786)^2+(30,068-30,01786)^2+\dots + (30,289-30,01786)^2}{50-1}}=0,195888$$
$$S_Y = \sqrt{\frac{(30,980-30,55766)^2+(30,596-30,55766)^2+\dots + (31,172-30,55766)^2}{50-1}}=0,323313$$
Uma vez que $S_Y > S_X$, fazemos $\widehat{\sigma}=S_Y=0,323313.$
$$PC_p=\frac{\text{Área} \left( R_{T} \right)}{\text{Área} \left( R_{V} \right)}=\frac{\dfrac{\pi D^2}{4}}{9\pi\sigma^2} =\frac{D^2}{36\sigma^2}=\frac{2^2}{36\times 0,323313^2}=1,062944.$$
$$PC_{pk}=\dfrac{\dfrac{\pi D^2}{4}}{\pi \left[ \sqrt{(\mu_x-a)^2 + (\mu_y-b)^2} + 3\sigma \right]^2}= \dfrac{D^2}{4 \left[ \sqrt{(\mu_x-a)^2 + (\mu_y-b)^2} + 3\sigma \right]^2} =$$
$$=\frac{2^2}{4\left[ \sqrt{(30,01786-30)^2 +(0,323313-30)^2 } + 3\times 0,323313\right]^2 } =0,428369.$$