23. Validação de Metodologia Analítica
O objetivo da validação do método é garantir que a metodologia analítica seja exata, precisa, estável, reprodutível e flexível sobre uma faixa específica de uma substância em análise. Aqui, precisamos garantir que as análises de rotina reproduzam valores consistentes ao valor de referência. Com isso, temos que o método é considerado validado se suas características estiverem de acordo com os requisitos estabelecidos, ou seja, não existe diferença entre os experimentos que determinam os parâmetros estudados e a validação.
O desenvolvimento de métodos analíticos necessitam que estimemos a eficiência do processo de avaliação na rotina do laboratório. Órgãos reguladores como ANVISA (Agência Nacional de Vigilância Sanitária), MAPA (Ministério da Agricultura, Pecuária e Abastecimento) e INMETRO (Instituto Nacional de Metrologia, Qualidade e Tecnologia) exigem das empresas auditadas a validação de métodos. O INMETRO especificamente, além dos parâmetros de validação de métodos, exige o ensaio de proficiência (comparação interlaboratorial, para mais detalhes consulte o conteúdo de ensaio de proficiência). Em geral, o procedimento de validação da metodologia analítica pode ser representado pelo seguinte fluxograma:

Entretanto, as definições, os parâmetros, os experimentos, os cálculos e os critérios relacionados à validação da metodologia analítica podem diferir de acordo com o orgão regulamentador. Nas seções decorrentes, descrevemos em detalhes os pontos-chave relacionados a cada orgão.
1.1 - RDC 166/17 (ANVISA): Resolução da Diretoria Colegiada
Em 24 de julho de 2017, a Diretoria Colegiada da Agência Nacional de Vigilância Sanitária (ANVISA) publicou a Resolução da Diretoria Colegiada - RDC nº 166/17 (RDC Nº 166/2017) [1]. Esta resolução visa estabelecer critérios para a validação de métodos analíticos empregados em insumos farmacêuticos, medicamentos e produtos biológicos em todas as suas fases de produção. Neste contexto, a resolução define validação analítica como a avaliação sistemática de um método por meio de ensaios experimentais de modo a confirmar e fornecer evidências objetivas de que os requisitos específicos para seu uso pretendido são atendidos. O objetivo da validação é demonstrar que o método analítico produz resultados confiáveis e é adequado à finalidade a que se destina, de forma documentada e mediante critérios objetivos. Os parâmetros a serem avaliados no estudo de metodologia analítica variam de acordo com o tipo de validação e com o tipo de ensaio. Caso a metodologia não esteja descrita em compêndio oficial, é realizada a validação analítica completa, conforme os parâmetros estabelecidos na tabela seguinte.

Tabela 1: Parâmetros de validação. * Dissolução (quantificação), uniformidade de conteúdo e potência.
(1)Nos casos em que foi conduzida a reprodutibilidade, não é necessário conduzir a precisão intermediária.
(2)Nos casos de ensaios de identificação, pode ser necessária a combinação de dois ou mais procedimentos analíticos para atingir o nível necessário de discriminação.
(3)Pode ser necessário em alguns casos.
Outro tipo de validação é a validação parcial. A RDC nº 166 de define a validação parcial como a demonstração, por meio de alguns parâmetros de validação, que o método analítico previamente validado tem as características necessárias para obtenção de resultados com a qualidade exigida, nas condições em que é praticado. Este tipo de validação deve avaliar, pelo menos, os parâmetros de precisão, exatidão e seletividade. Ela deve ser aplicada nos casos de métodos analíticos compendiais e de transferência de método entre laboratórios.
Além da validação completa e parcial, a RDC nº 166 define um procedimento a ser realizado previamente a uma corrida analítica, nomeado Verificação de sistema. Este estudo visa demonstrar que o sistema está apto para o uso pretendido, sendo que os parâmetros desse procedimento devem ser definidos durante o desenvolvimento e validação do método. É recomendada a realização da verificação de sistema anteriormente a cada corrida analítica.
A revalidação da metodologia deve ser avaliada quando ocorrem: alterações na síntese ou obtenção do insumo farmacêutico ativo; alterações na composição do produto acabado e alterações no método analítico.
Todos os equipamentos utilizados na validação analítica devem estar calibrados e os analistas devem ser qualificados e adequadamente treinados. Deve ser avaliado a adequabilidade dos equipamentos de medição com os métodos propostos.
Os documentos apresentados devem descrever os procedimentos e parâmetros analíticos e resultados com detalhamento suficiente que possibilite a sua reprodução e avaliação estatística. Além disso, deve ser apresentado o Protocolo Estatístico detalhadando a metodologia estatística utilizada.
Nas seções seguintes, descrevemos os parâmetros apresentado na Tabela 1. Discutimos suas definições, bem como as metodologias estatísticas associadas.
1.1.1 - Seletividade
Nesta seção, introduzimos a seletividade. Este parâmetro é discutido no artigo 19 da RDC Nº 166 [1]. Neste, é apontado que a seletividade do método analítico deve ser demonstrada por meio da capacidade de identificar ou quantificar o analito de interesse, inequivocamente, na presença de componentes que podem estar presentes na amostra, como impurezas e componentes da matriz.
Em Gustavo González [2] a seletividade foi definida como o grau em que um método pode quantificar uma substância com precisão na presença de interferências nas condições indicadas do ensaio para a amostra matriz em estudo. Devido a presença de diversas interferências nas condições de ensaio, é impraticável considerar todos as potenciais interferências. Com isso, é aconselhável estudar apenas os piores casos susceptíveis.
Segundo as exigências da RDC nº 166, nos ensaios quantitativos e ensaios limite, a seletividade deve ser demonstrada por meio da comprovação de que a resposta analítica se deve exclusivamente ao analito, sem interferência do diluente, da matriz, de impurezas ou de produtos de degradação.
Por outro lado, para os ensaios de identificação, deve ser demonstrada sua capacidade de obter resultado positivo para amostra contendo o analito e resultado negativo para outras substâncias presentes na amostra. Neste sentido, os ensaios devem ser aplicados a substâncias estruturalmente semelhantes ao analito, sendo o critério de aceitação a obtenção de resultado negativo.
Para este parâmetro, o único estudo estatístico apontado é o de efeito matriz, o qual tem como objetivo avaliar a interferência dos componentes da matriz no sinal analítico e pode ser aplicado aos ensaios que envolvem matrizes complexas. Todavia, nenhum método estatístico é especificado para os casos nos quais a matriz não é complexa, bem como para avaliar a interferência da presença de outros componentes (tais como impurezas). Nas próximas subseções, apresentamos algumas sugestões de técnicas estatísticas que podem ser utilizadas no estudo de seletividade. Além disso, discutimos em detalhes a metodologia estatística apropriada para o estudo do efeito matriz.
1.1.1.1 - Técnicas estatísticas sugeridas
A ausência absoluta efeitos de interferência podem ser definidas como “especificidade”. Assim, temos que especificidade = 100 % da selectividade.
A seletividade de um método pode ser expressa quantitativamente usando a proporção máxima tolerada, isto é, a razão da concentração de interferência de analito dividido por uma perturbação sobre a resposta analítica que produz uma concentração de analito. A equação de medição da proporção máxima tolerada (recuperação) é dada por:
$$\text{Rec}=\frac{C_o}{C_t}\times100$$
em que
- Rec: é a recuperação, em ($ (porcentagem) $);
- é a concentração obtida em $ mg/mL; $
(há elementos em falta na equação acima)
- é a concentração teórica em $ mg/mL; $
(há elementos em falta na equação acima)
Consideremos uma amostra aleatória simples $ \text{Rec}_1,\text{Rec}_2,\ldots,\text{Rec}_n $, obtida de uma população com distribuição normal, com média $ \mu=100 $ e variância $ \sigma^2 $ desconhecidas. Como neste caso a variância é desconhecida, utilizaremos a variância amostral $ s^2 $ no lugar de $ \sigma^2 $. Assim, temos que
$$T=\frac{|\overline{\text{Rec}}-100|}{s/\sqrt{n}}\sim t_{(n-1)}\quad ~(1)$$
ou seja, a variável $ T $ tem distribuição t de Student com $ n-1 $ graus de liberdade.
Então, ao fixarmos o nível de significância $ \alpha $, obtemos da Tabela da distribuição t de Student com $ n-1 $ graus de liberdade, o valor $ t_{((n-1),\alpha/2)} $, que satisfaz
$$\mathbb{P}\left(-t_{((n-1),\alpha/2)}\leq T\leq t_{((n-1),\alpha/2)}\right)=1-\alpha$$
Analogamente ao caso anterior, obtemos que
$$\mathbb{P}\left(-t_{((n-1),\alpha/2)}\leq \frac{\overline{\text{Rec}}-100}{s/\sqrt{n}}\leq t_{((n-1),\alpha/2)}\right)=1-\alpha$$
ou seja,
$$\mathbb{P}\left(\overline{\text{Rec}}-t_{((n-1),\alpha/2)}\frac{s}{\sqrt{n}}\leq100\leq \overline{\text{Rec}}+t_{((n-1),\alpha/2)}\frac{s}{\sqrt{n}}\right)=1-\alpha.$$
Logo, o intervalo com $ 100(1-\alpha)(porcentagem) $ de confiança para $ \mu=100 $, com variância desconhecida, será dado por
$$IC(\mu=100,1-\alpha)=\left(\overline{\text{Rec}}-t_{\alpha/2}\frac{s}{\sqrt{n}};\overline{\text{Rec}}+t_{\alpha/2}\frac{s}{\sqrt{n}}\right).$$
Para facilitar a execução do teste, podemos seguir os passos:
- Estabelecer as hipóteses:
Fixamos $\mu=\mu_0=100 $.
(há elementos em falta na equação acima)
$\mu\neq\mu_0 \quad \text{(teste bilateral)} $;
(há elementos em falta na equação acima)
-
Fixar o nível de significância $ \alpha $.
-
Determinar a região crítica.
Como o teste é bilateral, determinamos os pontos críticos $ -t_{\alpha/2} $ e $ t_{\alpha/2} $ tais que $ \mathbb{P}[T \ > \ t_{\alpha/2}]=\mathbb{P}[T \ < -t_{\alpha/2}]=\alpha/2 $ a partir da distribuição t de Student com $ n-1 $ graus de liberdade.
- Calcular, sob a hipótese nula, o valor:
$$T_{\text{obs}}=\frac{|\overline{\text{Rec}}-100|}{\frac{s}{\sqrt{n}}}$$
em que
- $ \overline{\text{Rec}} $: valor da média da recuperação.
- $ s $: valor do desvio padrão amostral.
- $ n $: tamanho da amostra.
- Critério:
Teste bilateral: se $ T_{\text{obs}} \ > \ t_{\alpha/2} $ ou se $ T_{\text{obs}} \ < \ -t_{\alpha/2} $, rejeitamos $ H_0 $. Caso contrário, não rejeitamos $ H_0 $.
(imagem em falta)
- O p-valor no teste bilateral é dado por
$$\text{p-valor} = \mathbb{P}[|t| \ > \ |T_{\text{obs}}||H_0]=2\mathbb{P}[T \ > \ |T_{\text{obs}}| | H_0].$$
- Como vimos anteriormente o intervalo de confiança é dado por
$$IC(\mu,1-\alpha)=\left(\overline{\text{Rec}}-t_{\alpha/2}\frac{s}{\sqrt{n}};\overline{\text{Rec}}+t_{\alpha/2}\frac{s}{\sqrt{n}}\right)$$
Segundo Gustavo González [2], a estatística do teste (equação 1) por ser escrita como:
$$T=\frac{\overline{\text{Rec}}-100}{u(\text{Rec})}$$
em que
$$u(\text{Rec})=\sqrt{\left(\frac{\partial \text{Rec}}{\partial C_o}\right)^2u^2(C_o)+\left(\frac{\partial \text{Rec}}{\partial C_t}\right)^2u^2(C_t)+u^2(\varepsilon)}$$
no qual
- Rec: é a recuperação, em (%);
- é a concentração obtida em $ mg/mL. $ A incerteza é dada pela preparação da amostra (para mais detalhes consulte cálculo de incerteza devido às soluções)
(há elementos em falta na equação acima)
- é a concentração teórica em $ mg/mL; $ A incerteza é dada pelo certificado da solução de referência (ISO GUIDE);
(há elementos em falta na equação acima)
- é o desvio padrão da média dada por $ s/\sqrt{n}. $
(há elementos em falta na equação acima)
Além disso, temos que:
$$\frac{\partial \text{Rec}}{\partial C_o}=\frac{1}{C_t}$$
$$\frac{\partial \text{Rec}}{\partial C_t}=-\frac{C_o}{C^2_t}$$
De acordo com o protocolo LGC/VAM descrito no artigo de Gustavo González [2], se o grau de liberdade associados a incerteza da recuperação são conhecidas, T é comparado com o bicaudal valor tabelado $ t_{(\nu,1-\alpha)} $ para o número de graus de liberdade $ \nu $ com $ (1-\alpha)(porcentagem) $ de confiança. E se$ T\leq t_{tab}, $ a recuperação de consenso não é significativamente diferente de 1. Em alternativa, ao invés do $ t_{tab}, $ podemos utilizar o fator de abrangência $ k $ para a comparação. Os valores típicos são $ k=2 $ ou 3 para 95% ou 99% de confiança, respectivamente. Assim
Se $ \frac{|\overline{\text{Rec}}-100|}{u(\text{Rec})}\leq k $, a recuperação não é significativamente diferente de 100;
Se $ \frac{|\overline{\text{Rec}}-100|}{u(\text{Rec})}> k $, a recuperação é significativamente diferente de 100 e o resultado analítico tem de ser corrigido por $ \overline{\text{Rec}}. $
Outra forma de avaliação descrita em Gustavo González [2] é avaliarmos os limites aceitáveis dadas pelos órgãos reguladores. No caso da consulta pública, descriminamos na tabela 2.
Exemplo 1.1.1
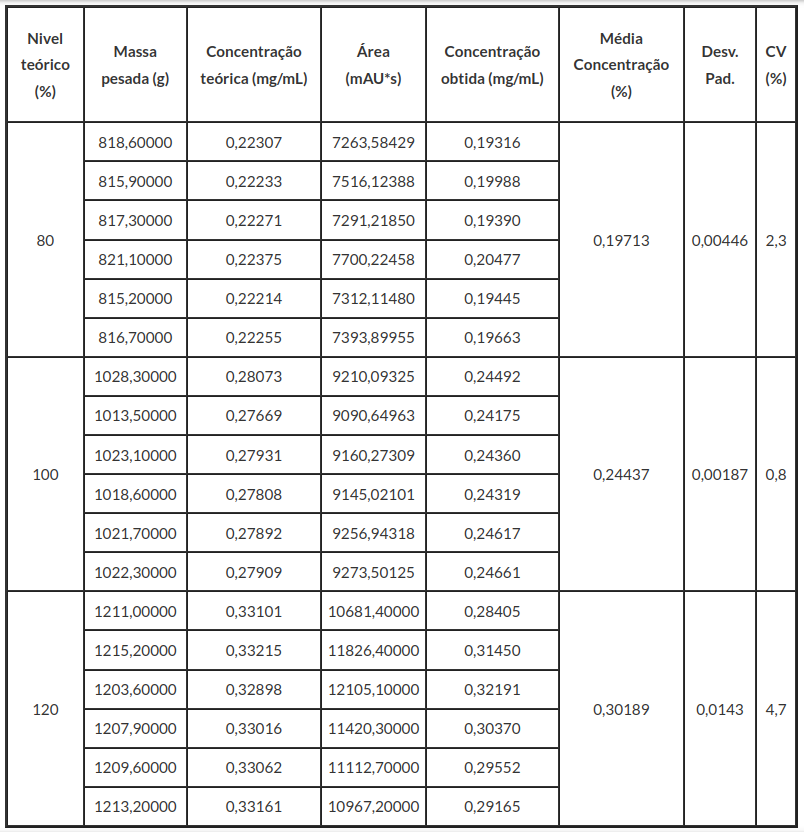
Nesta seção, foi calculada a incerteza expandida relativa, que corresponde a 0,29%. A seguir, apresentamos os dados coletados.
Padrão 1:
| Massa (mg): | 40,20 |
|---|---|
| Potência (%): | 73,5 |
| Umidade (%): | 4,8 |
| Potência Real (%): | 69,972 |
| 1ª Diluição: | 50 |
| Concentração (mg/mL): | 0,56257 |
| Aliquota (mL): | 5 |
| 2ª Diluição (mL): | 10 |
| Concentração (mg/mL): | 0,28129 |
Preparo da amostra:
| 1ª diluição (mL) | 10 |
|---|---|
| Alíquota (mL) | 1 |
| 2ª diluição (mL) | 1 |
| Concentração teórica (mg/mL) considerando nível 80% | 0,2184 |
Para especificidade normal obtemos as seguintes medições:
| Concentração |
|---|
| 0,201796 |
| 0,203226 |
| 0,194679 |
| 0,199994 |
| 0,195206 |
| 0,185519 |
| 0,209691 |
| 0,186922 |
| 0,184354 |
| 0,192918 |
| Amostra | Massa (mg) | Vol. Pd (mL) | Concentração teórica (mg/mL) | Área (mAU*s) | Concentração média obtida (mg/mL) | Recuperação (%) |
|---|---|---|---|---|---|---|
| 1 | 728,68 | 0,00 | 0,1912 | 7447,27975 | 0,1954 | 102,21 |
Para especificidade normal temos:
$$\text{Rec}=\frac{C_o}{C_t}\times100=\frac{0,1954}{0,1912}\times100=102,21(porcentagem)\pm 4,36(porcentagem)$$
A seguir, testamos a seletividade através do software Action Stat e obtemos os seguintes resultados:
- Primeiramente apresentamos a função Seletividade no Action Stat. Para acessa-la vamos em Action Stat -> Validação Analítica -> Seletividade/Especificidade
(imagem em falta)
- O próximo passo é preencher a janela da Seletividade
(imagem em falta)
- Por fim, obtemos os seguintes resultados:
(imagem em falta)
(imagem em falta)
(imagem em falta)
Logo, a recuperação está dentro do critério de aceitação.
Exemplo 1.1.2
Nesta aplicação foi testada a seletividade e especificidade do método para Zidovudina com limites de especificação de 95 a 105 de recuperação. Para isto, utilizamos as condições de teste dadas na tabela a seguir:
| Solução | Recuperação |
|---|---|
| Solução Teste | 100,01 |
| Solução Teste + Timina | 100,44 |
| Solução Teste + Impureza B | 100,54 |
| Solução Teste + Timina + Impureza B | 100,5 |
As hipoteses de interesse são:
$$\mu\not=100$$
(há elementos em falta na equação acima)
Seque que $ n=4 $. Então, o calculo da recuperação média é:
$$\overline{Rec}=\sum_{i=1}^4 =\frac{Rec_i}{n}=\frac{100,01+100,44+100,54+100,5}{4}=\frac{401,49}{4}=100,3725$$
A estimativa do desvio padrão é dado por
$$s=\sum_{i=1}^4\frac{(Rec_i-\overline{Rec})^2}{n-1}=\frac{(100,01-100,3725)^2+\cdots+(100,5-100,3725)^2}{4-1}=0,2423$$
Logo, podemos calcular $ T_{obs} $:
$$T_{obs}=\frac{\overline{Rec}-\mu_0}{s/\sqrt{n}}=\frac{100,3725-100}{0,2324/\sqrt{4}}=3,058$$
Considerando $ \alpha = 0,05 $ temos $ t_{3;0,025} = -3,18 $ e $ t_{3;0,975} = 3,18 $. Então como $ T_{obs} \in [-3,18;3,18] $ temos evidências para aceitar a hipótese nula ao nível de significância de $ 5(porcentagem) $, ou seja, a recuperação média é igual a 100.
Podemos também calcular o intervalo de confiança para $ \mu $. Temos que
$$IC(\mu=100,95(porcentagem))=\left(\overline{\text{Rec}}+t_{3;0,025}\frac{s}{\sqrt{n}};\overline{\text{Rec}}+t_{3;0,975}\frac{s}{\sqrt{n}}\right)$$
$$IC(\mu=100,95(porcentagem))=\left(100,3725-3,18\frac{0,2423}{\sqrt{4}};100,3725+3,18\frac{0,2423}{\sqrt{4}}\right) = (99,98; 100,76)$$
1.1.1.2 - Efeito Matriz
Conforme descrito na RDC 166, o efeito matriz deve ser determinado por meio da comparação entre as curvas de calibração construídas com a SQR do analito em solvente e com a amostra fortificada com a SQR do analito. As curvas devem ser estabelecidas para os mesmo níveis de concentração, utilizando no mínimo 5 concentrações diferentes e em triplicata. O Efeito Matriz segundo guia do MAPA é um estudo de seletividade que objetiva averiguar possíveis interferências causadas pelas substâncias que compõem a matriz amostral gerando, basicamente, fenômenos de diminuição ou ampliação do sinal instrumental ou resposta instrumental. O critério adotado é a avaliação do paralelismo entre as curvas relativas ao analito em solvente e a amostra foriticada com o analito.
Nesta seção, vamos usar o conceito de variável dummy para avaliar o efeito da matriz na metodologia analítica. Variável dummy representa estados ou níveis de fatores, ou seja, representa algo que não possui valores numéricos ou, caso possua, estes valores não têm realmente um significado numérico (como número de lote). A variável dummy relacionada ao efeito matriz pode ser escrita da seguinte maneira,

A partir da variável dummy, o modelo de regressão linear completo é dado por:
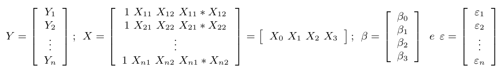
$$Y_{i}=\beta_0+\beta_1~X_{i1}+\beta_2~X_{i2}+\beta_3~X_{i1}\ast X_{i2}+\varepsilon_{i},\quad i=1,\dots,n \quad (1)$$
em que
- é a variável resposta (Sinal Analítico), que se relaciona com $ p=3 $ variáveis explicativas;
(há elementos em falta na equação acima)
- é o intercepto do modelo;
(há elementos em falta na equação acima)
- é o coeficiente de regressão correspondente a variável explicativa Concentração;
- é a variável explicativa Concentração;
(há elementos em falta na equação acima)
- é o coeficiente de regressão correspondente a diferença no intercepto;
(há elementos em falta na equação acima)
- é a variável dummy (Efeito Matriz);
(há elementos em falta na equação acima)
- é o coeficiente de regressão correspondente a diferença no coeficiente angular (paralelismo);
(há elementos em falta na equação acima)
- representa o erro experimental.
(há elementos em falta na equação acima)
Para entender os testes de comparação de curvas descrito a seguir, observe que:
$$\mathbb{E}[Y_{i}| X_{i1};X_{i2}=1]=(\widehat{\beta}_0+\widehat{\beta}_2)+(\widehat{\beta}_1+\widehat{\beta}_3)~X_{i1}\quad (2)\quad \text{e}$$
$$\mathbb{E}[Y_{i}|X_{i1};X_{i2}=0]=\widehat{\beta}_0+\widehat{\beta}_1~X_{i1}\quad (3)$$
ou seja, para $ X_{i2}=0 $ temos que
$$Y_i=\beta_0+\beta_1~X_{i1}+\varepsilon_i\quad i=1,\dots,n$$
para $ X_{i2}=1 $
$$Y_i=(\beta_0+\beta_2)+(\beta_1+\beta_3)~X_{i1}+\varepsilon_i\quad i=1,\dots,n$$
Então, das equações (2) e (3) temos que a diferença entre as curvas pode ser estimada por:
$$\mathbb{E}[Y_{i}|X_{i1};X_{i2}=1]-\mathbb{E}[Y_{i}|X_{i1};X_{i2}=0]=\widehat{\beta}_0+\widehat{\beta}_2+\widehat{\beta}_1~X_{i1}+\widehat{\beta}_3~X_{i1}-(\widehat{\beta}_0-\widehat{\beta}_1~X_{i1})=\widehat{\beta}_2+\widehat{\beta}_3~X_{i1}\quad (4)$$
Notamos que a curva da diferença entre os sinais analíticos das concentrações quando estamos na situação “Analito em solvente” e “amostra foritificada” é representada pela equação (4). Com isso, para testarmos a igualdade do intercepto, testamos a hipótese nula $\beta_2=0. $ Já no paralelismo é feito pelo teste $\beta_3=0. $ Se os dois coeficientes forem nulos, temos o teste de coincidência.
(há elementos em falta na equação acima)
Modelagem Matricial
Para a construção dos testes de Paralelismo, Igualdade de Intercepto e Coincidência precisamos utilizar o teste F parcial. Para isso, considere o modelo de regressão linear escrito na forma matricial:
$$Y = X\beta + \varepsilon~~~~(5)$$
em que

observe que $ X_0, X_1, X_2 $ e $ X_3 $ são vetores referente a cada coluna da matriz $ X $. Desta forma, podemos reescrever o modelo matricial de forma particionada:
$$Y=X_0\beta_0 + X_1\beta_1 + X_2\beta_2 + X_3\beta_3 + \varepsilon .$$
Neste modelo, os estimadores de mínimos quadrado são dados por
$$\hat{\beta} = (X^\prime X)^{-1} X^\prime Y.$$
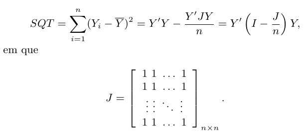
A soma de quadrados total (SQT) para o modelo matricial (5), é dada por

Além disso, de “Propriedades dos Estimadores” temos que a soma de quadrados dos erros (dos resíduos) é dada por
$$SQE=Y^\prime Y-\widehat{\beta}\prime X^\prime Y=Y^\prime (I-X (X^\prime X )^{-1}X^\prime )Y=Y^\prime(I-H)Y.$$
A matriz $ I $ é a matriz identidade com dimensão n x n e a matriz $ H=X [X^\prime X]^{-1}X^\prime $ é chamada matriz chapéu que transforma o vetor de respostas Y no vetor de valores ajustados $ \widehat{Y} $.
Desta forma, obtemos que a soma de quadrados da regressão é dada por
$$SQR=SQT-SQE=\left(Y^\prime Y-\frac{Y^\prime JY}{n}\right)-(Y^\prime Y-\widehat{\beta}^\prime X^\prime Y)=\widehat{\beta}^\prime X^\prime Y-\frac{Y^\prime JY}{n}.$$
e o quadrado médio do erro $ (QME) $ é calculado por
$$QME = \frac{SQE}{n-3-1}$$
.
Utilizando essas definições, podemos definir os testes para comparação das curvas.
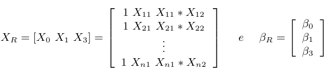
Teste de Igualdade do Intercepto
No teste de igualdade de intercepto, as hipóteses de interesse são:
$$~\beta_2\neq 0$$
(há elementos em falta na equação acima)
Denominamos por modelo reduzido o modelo supondo que $ H_0 $ é verdadeiro. Utilizando a notação matricial particionada temos que o modelo reduzido é
$$Y=X_0\beta_0+X_1\beta_1+X_3\beta_3$$
Então, a matriz $ X $ para o modelo reduzido, denominada por $ X_R $ e o vetor de parâmetros $ \beta_R $ são dados por

Assim, podemos calcular o $ SQR $ do modelo reduzido por
$$SQR(\beta_R)=\hat{\beta_R}^{\prime}X^{\prime}_R Y-\frac{Y^{\prime}JY}{n}$$
Então, a soma de quadrados de regressão de $ \beta $ dado que $ \beta_R $ ja esta no modelo é calculado por
$$SQR(\beta|\beta_R)=SQR(\beta)-SQR(\beta_R) = \hat{\beta}^{\prime}X^{\prime}Y-\frac{Y^{\prime}JY}{n}-(\hat{\beta}_R^{\prime}X^{\prime}_R Y-\frac{Y^{\prime}JY}{n}) = \hat{\beta}^{\prime}X^{\prime}Y-\hat{\beta}_R^{\prime}X^{\prime}_R Y$$
Com $ (4-(4-1))=1 $ grau de liberdade. Essa soma de quadrados da regressão parcial representa a quantidade adicional que teríamos na soma de quadrados da regressão ao adicionar 1 covariavel no modelo reduzido.
Então, podemos testar a hipótese nula $\beta_2=0 $ utilizando a estatística:
(há elementos em falta na equação acima)
$$F_0 = \frac{SQR(\beta|\beta_R)/1}{QME} \sim F_{1,(n-4)}$$
Portanto, se $ F_0> F_{\alpha, 1,(n-4)} $ rejeitamos a hipótese nula, ou seja, concluímos que $ \beta_2 \not= 0 $, no qual $ \alpha $ é o nível de significância proposto. Na RDC 166 utilizamos $ \alpha=0,05 $.
(imagem em falta)
O P-valor no teste do intercepto é dado por $ \mathbb{P}[F_{1,n-4} > F_0] $. Como sempre, rejeitamos $ H_0 $ se o P-valor for menor que o nível de significância proposto. Na RDC 166 utilizamos $ \alpha=0,05 $.
(imagem em falta)
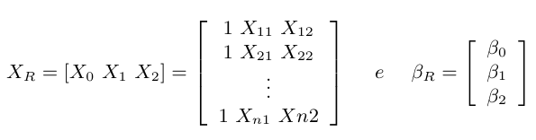
Teste do Paralelismo
Conforme descrito na RDC 166, o teste de paralelismo avalia o impacto da matriz na metodologia analítica. Caso as retas sejam paralelas, dizemos que o impacto é nulo e neste caso, podemos desenvolver o método em solvente. Para testarmos o paralelismo entre as retas, testamos as seguintes hipóteses:
$$~\beta_3\neq 0$$
(há elementos em falta na equação acima)
Nesse caso, o modelo reduzido supondo que $ H_0 $ é verdadeiro é dado por
$$Y=X_0\beta_0+X_1\beta1+X_2\beta_2$$
Então, a matriz regressão $ X $ para o modelo reduzido será denotada por $ X_R $ e o vetor de parâmetros será denotado $ \beta_R $ tal que

Assim, podemos calcular o $ SQR $ do modelo reduzido por
$$SQR(\beta_R)=\hat{\beta}_R^{\prime}X^{\prime}_R Y-\frac{Y^{\prime}JY}{n}$$
Então, a soma de quadrados de regressão de $ \beta $ dado que $ \beta_R $ ja esta no modelo é calculado por
$$SQR(\beta|\beta_R)=SQR(\beta)-SQR(\beta_R) = \hat{\beta}^{\prime}X^{\prime}Y-\frac{Y^{\prime}JY}{n}-(\hat{\beta}_R^{\prime}X^{\prime}_R Y-\frac{Y^{\prime}JY}{n}) = \hat{\beta}^{\prime}X^{\prime}Y-\hat{\beta}_R^{\prime}X^{\prime}_R Y$$
Com $ (4-(4-1))=1 $ grau de liberdade. Essa soma de quadrados da regressão parcial representa a quantidade adicional que teríamos na soma de quadrados da regressão ao adicionar 1 covariavel no modelo reduzido.
Assim, podemos testar a hipótese nula $ \beta_3=0 $ utilizando a estatística:
(há elementos em falta na equação acima)
$$F_0 = \frac{SQR(\beta|\beta_R)/1}{QME} \sim F_{1,(n-4)}$$
Portanto, se $ F_0> F_{\alpha, 1,(n-4)} $ rejeitamos a hipótese nula, ou seja, concluímos que $ \beta_3 \not= 0 $, no qual $ \alpha $ é o nível de significância proposto. Na RDC 166 utilizamos $ \alpha=0,05 $.
(imagem em falta)
O P-valor no teste de paralelismo é dado por $ \mathbb{P}[F_{1,n-4} > F_0] $. Como sempre, rejeitamos $ H_0 $ se o P-valor for menor que o nível de significância proposto. Na RDC 166 utilizamos $ \alpha=0,05 $.
(imagem em falta)
Teste descrito na RDC 166
A seguir, vamos mostrar que o teste descrito na RDC 166 é equivalente ao teste F-parcial descrito acima. Na RDC 166, tomamos as duas retas de forma independente. Para isto, consideramos os modelos de regressão linear simples,

nos quais $ \varepsilon_{i} $ e $ \eta_j $ são variáveis aleatórias independentes com distribuição normal com média zero e variância $ \sigma^2 $. O Teste de Paralelismo é equivalente a
$$~\beta_{1*}\neq \beta_{2*}$$
(há elementos em falta na equação acima)
A RDC 166 propõe a estatística do teste
$$T_0 = \frac{\hat{\beta}_{1*} - \hat{\beta}_{2*}}{s(\hat{\beta}_{1*},\hat{\beta}_{2*})},$$
no quais $ \hat{\beta}_{1*} $ é a estimativa de mínimos quadrados de $ \beta_{1*} $ utilizando as $ n_1 $ observações da curva referente ao “analito em solvente”, $ \hat{\beta}_{2*} $ é a estimativa de mínimos quadrados de $ \beta_{2*} $ utilizando as $ n_2 $ observações da curva referente a “amostra fortificada” com o analito. Como a variância do erro experimental $ \varepsilon_{i} $ e a variância do erro experimental $ \eta_j $ são iguais $ (\sigma^2) $, uma estimativa para o desvio padrão da diferença $ \hat{\beta}_{1*} - \hat{\beta}_{2*} $ é dado por
$$s(\hat{\beta}_{1*},\hat{\beta}_{2*}) =\sqrt{ s^2_p \left[\frac{1}{(n_1-1)s^2_{X_1}} + \frac{1}{(n_2-1)s^2_{X_2}}\right]},$$
nos quais $ s^2_{X_1} $ é a variância amostral de $ X_1 $ e $ s^2_{X_2} $ é a variância amostral de $ X_2 $. Neste caso, a variância agrupada $ s^2_p $ é dada por
$$s^2_p = \frac{(n_1 - 2) QME^{1} + (n_2 -2) QME^{2}}{n_1 + n_2 -4},$$
nos quais $ QME^{1} $ representa o quadrado médio do resíduo para o primeiro grupo e $ QME^2 $ representa o quadrado médio do resíduo para o segundo grupo.
Como apresentado no módulo de comparação de médias, sob $ H_0 $, a estatística $ T_0 $ tem distribuição t-Student com $ n_1 + n_2 -4 $ graus de liberdade. Assim, podemos utilizar um teste t-Student de comparação de médias para avaliar o paralelismo estre as duas retas. Por definição, sabemos que o quadrado de uma distribuição t-Student com $ \nu $ graus de liberdade é igual a uma distribuição F com $ 1 $ grau de liberdade no numerador e $ \nu $ graus de liberdade no denominador. A partir desta equivalência, concluímos que o teste F-parcial e o teste proposto na RDC 166 são equivalentes.
Teste de Coincidência
Para testarmos a coincidência entre as retas (teste de igualdade), testamos as seguintes hipóteses:

(há elementos em falta na equação acima)
Assim, podemos calcular o $ SQR $ do modelo reduzido por
$$SQR(\beta_R)=\hat{\beta}_R^{\prime}X^{\prime}_R Y-\frac{Y^{\prime}JY}{n}$$
Então, a soma de quadrados de regressão de $ \beta $ dado que $ \beta_R $ ja esta no modelo é calculado por
$$SQR(\beta|\beta_R)=SQR(\beta)-SQR(\beta_R) = \hat{\beta}^{\prime}X^{\prime}Y-\frac{Y^{\prime}JY}{n}-(\hat{\beta}_R^{\prime}X^{\prime}_R Y-\frac{Y^{\prime}JY}{n}) = \hat{\beta}^{\prime}X^{\prime}Y-\hat{\beta}_R^{\prime}X^{\prime}_R Y$$
Com $ (4-(4-2))=2 $ graus de liberdade. Essa soma de quadrados da regressão parcial representa a quantidade adicional que teríamos na soma de quadrados da regressão ao adicionar 2 covariaveis no modelo reduzido.
Então, podemos testar a hipótese nula $\beta_2=\beta_3=0 $ utilizamos a estatística:
(há elementos em falta na equação acima)
$$F_0 =\frac{SQR(\beta|\beta_R)/2}{QME} \sim F_{2,(n-4)}$$
Portanto, se $ F_0> F_{\alpha, 2,(n-4)} $ rejeitamos a hipótese nula, ou seja, concluímos que pelos menos um dos $ \beta_i\not= 0 $, i=2,3.
Os métodos das equações (1) e (1.1) são equivalentes, conforme cálculos descritos nesta seção e da referência Guedes et al [6]. Logo, basta aplicarmos o modelo (1) para testarmos a igualdade do intercepto, paralelismo e coincidência.
(imagem em falta)
O P-valor no teste de coincidência é dado por $ \mathbb{P}[F_{2,n-4} > F_0] $. Como sempre, rejeitamos $ H_0 $ se o P-valor for menor que o nível de significância proposto. Na RDC 166 utilizamos $ \alpha=0,05 $.
(imagem em falta)
Exemplo 1.3.1
A seguir, apresentamos os dados coletados.
| Concentração | Efeito Matriz | Área | Concentração | Efeito Matriz | Área | Concentração | Efeito Matriz | Área |
|---|---|---|---|---|---|---|---|---|
| 0,794 | com | 723322846 | 0,893 | sem | 812652587 | 1,091 | com | 994255845 |
| 0,794 | com | 722919388 | 0,893 | sem | 812405048 | 1,091 | com | 995371432 |
| 0,794 | com | 723367802 | 0,893 | sem | 812521869 | 1,091 | com | 994974613 |
| 0,794 | com | 724423578 | 0,893 | sem | 810445552 | 1,091 | sem | 988750606 |
| 0,794 | com | 725106579 | 0,893 | sem | 810903886 | 1,091 | sem | 988060333 |
| 0,794 | com | 725529198 | 0,893 | sem | 810248148 | 1,091 | sem | 987646169 |
| 0,794 | com | 724492966 | 0,992 | com | 904384882 | 1,091 | sem | 986719093 |
| 0,794 | com | 724995777 | 0,992 | com | 905029511 | 1,091 | sem | 986946993 |
| 0,794 | com | 726126408 | 0,992 | com | 904400039 | 1,091 | sem | 986765362 |
| 0,794 | sem | 724264113 | 0,992 | com | 904385633 | 1,091 | sem | 991334587 |
| 0,794 | sem | 723751677 | 0,992 | com | 904385383 | 1,091 | sem | 992428032 |
| 0,794 | sem | 724153514 | 0,992 | com | 904452718 | 1,091 | sem | 991727882 |
| 0,794 | sem | 729347610 | 0,992 | com | 904606337 | 1,191 | com | 1071863624 |
| 0,794 | sem | 727573286 | 0,992 | com | 904474647 | 1,191 | com | 1072193435 |
| 0,794 | sem | 727410902 | 0,992 | com | 904903159 | 1,191 | com | 1072139365 |
| 0,794 | sem | 729886571 | 0,992 | sem | 905105673 | 1,191 | com | 1075962819 |
| 0,794 | sem | 729329230 | 0,992 | sem | 905674191 | 1,191 | com | 1077239618 |
| 0,794 | sem | 729014932 | 0,992 | sem | 925365367 | 1,191 | com | 1076029296 |
| 0,893 | com | 811138292 | 0,992 | sem | 925365367 | 1,191 | com | 1076435622 |
| 0,893 | com | 811717343 | 0,992 | sem | 911960028 | 1,191 | com | 1076578829 |
| 0,893 | com | 811610358 | 0,992 | sem | 905178438 | 1,191 | com | 1078667741 |
| 0,893 | com | 813683993 | 0,992 | sem | 903128849 | 1,191 | sem | 1077889788 |
| 0,893 | com | 814581003 | 0,992 | sem | 904650286 | 1,191 | sem | 1075566151 |
| 0,893 | com | 814323181 | 0,992 | sem | 904717291 | 1,191 | sem | 1075419943 |
| 0,893 | com | 812070622 | 1,091 | com | 992132794 | 1,191 | sem | 1070722561 |
| 0,893 | com | 813221641 | 1,091 | com | 992179006 | 1,191 | sem | 1070222746 |
| 0,893 | com | 812033531 | 1,091 | com | 991671498 | 1,191 | sem | 1071099130 |
| 0,893 | sem | 814958107 | 1,091 | com | 989291660 | 1,191 | sem | 1111016773 |
| 0,893 | sem | 815478417 | 1,091 | com | 988669038 | 1,191 | sem | 1059808866 |
| 0,893 | sem | 815697960 | 1,091 | com | 988813205 | 1,191 | sem | 1059211239 |
Testamos o efeito matriz através do software Action Stat e obtemos os seguintes resultados:
- A ferramenta no menu do Action Stat Pharma -> Validação de Métodos -> Comparação de Curvas
(imagem em falta)
- O próximo passo é selecionar os dados de entrada e clicar no botão “Ler”
(imagem em falta)
- Selecionamos as colunas do conjunto de dados referente à Variável Resposta, Variável Explicativa e Método (Efeito Matriz).
(imagem em falta)
- Em “Opções” selecionamos os testes que desejamos e a visualização das curvas através do diagrama de dispersão.
(imagem em falta)
- Selecionamos “Nova Planilha” para mostrar os resultados e clicamos em “Ok”.
(imagem em falta)
A seguir, mostramos alguns dos resultados do Action Stat:
(imagem em falta)
(imagem em falta)
(imagem em falta)
Portanto, observamos que em todos dos testes de comparação de curvas possuem P-Valor maior que 0,05. Então, não detectamos diferença significativa entre as curvas referentes ao “analito em solvente” e a “amostra fortificada” ao nível de significância de 5%. Portanto, as retas são coincidentes.
(imagem em falta)
1.1.2 - Linearidade
Na RDC 166, o parâmetro “linearidade” é discutido entre os artigos 23 e 27. A resolução fixa que a linearidade de um método analítico deve ser demonstrada por meio da sua capacidade de obter respostas analíticas diretamente proporcionais à concentração de um analito em uma amostra. Além disso, uma relação linear deve ser avaliada em toda a faixa estabelecida para o procedimento analítico. Dentro da faixa estabelecida, o procedimento experimental deve ser conduzido via a seguinte estratégia:
- Devemos utilizar, no mínimo, 5 (cinco) concentrações diferentes da SQR para as soluções preparadas em, no mínimo, triplicata;
- As soluções utilizadas para avaliação da linearidade devem ser preparadas de maneira independente, podendo ser utilizadas soluções diluídas de uma mesma solução mãe da SQR;
Por preparo independente, entendemos que, para cada réplica, deve ser feita uma pesagem. Além disso, a resolução define que os cálculos realizados para a avaliação da linearidade devem ser realizados a partir dos dados de concentrações reais e respostas analíticas individuais. A partir dos dados obtidos via o experimento descrito, devem ser conduzidas algumas análises. Aqui, discutimos as análises e critérios apontados pela RDC 166. De maneira geral, podemos representar o estudo de linearidade de acordo com o seguinte fluxograma:
(imagem em falta)
Etapa 1: Nesta etapa realizamos o levantamento dos dados conforme procedimento descrito anteriormente. A modelagem dos dados da curva de calibração será realizada conforme princípio químico, em geral linear,
$$Y_{ij} = \beta_0 + \beta_1 x_{ij} + \varepsilon_{ij}, \quad j=1, \cdots , n_i \quad \text{e} \quad i=1, \cdots k,$$
em que:
- $ Y_{ij} $ representa o sinal analítico;
- $ x_{ij} $ representa a concentração;
- $ \beta_{0} $ representa o coeficiente linear ou intercepto;
- $ \beta_{1} $ representa o coeficiente angular;
- $ \varepsilon $ representa o erro experimental;
- $ n_i $ representa o número de réplicas do ponto $ i $ de concentração;
- $ k $ representa o número de pontos ou níveis.
Neste ponto é interessante discutirmos o processo de amostragem. Em geral, os laboratórios preparam diversas soluções estoques, com pesagens independentes. A partir desta soluções, eles preparam as diluições apropriadas. Neste caso, as três ou mais diluições de cada ponto são o que os estatísticos denominam de “quase-réplicas” , pois foram preparadas (pesadas) de forma independentes. Como temos pesagens independentes, temos valores diferentes para cada diluição, mas as diluições foram obtidas da mesma solução estoque, o que nos leva ao fenômeno de quase-réplica.
Um ponto fudamental na nossa análise é o erro experimental $ \varepsilon $. Ele representa o ruído relacionado com os fenômenos que não temos total controle, como o processo de pesagem, interferência do analista, condições ambientais, vidraria, equipamento entre outros. Para realizarmos a análise estatística dos dados da curva de calibração, vamos assumir que os erros experimentais são independentes e com distribuição normal com média zero e variância constante $ \sigma^2 $. Note que admitimos três hipóteses fundamentais para nossa análise estatística: Independência, Distribuição normal e Homocedasticidade. Obviamente que estas hipóteses devem ser checadas e tratadas de forma apropriada.
Etapa 2: Aqui, estamos interessados em estimar e avaliar a significância dos coeficientes da equação da reta de regressão linear simples de y (sinal analítico) em x (concentração). A resolução indica a estimação via o método dos mínimos quadrados. É importante ressaltarmos que as estimativas de mínimos quadrados são obtidas somente com as hipóteses de erros não correlacionados (que é mais fraca que independência) e homocedasticidade da variância dos erros. A hipótese de normalidade dos erros experimentais não é utilizada para obtermos as estimativas de mínimos quadrados. Através do método de mínimos quadrados, inicialmente proposto por Gauss em 1806, obtemos que
$$\hat{\beta_1} = \frac{S_{xy}}{S_{xx}} \quad \text{e} \quad \hat{\beta_0}=\bar{y} - \hat{\beta_1} \bar{x}$$
nos quais $ S_{xy} = \sum xy - n \bar{y} \bar{x} $, $ S_{xx} = \sum x^2 - n (\bar{x})^2 $ e $ n $ o total de dados.
Uma vez estimados, avaliamos a significância dos parâmetros via testes de hipóteses. Podemos avaliar a significância do coeficiente angular utilizando a tabela ANOVA. Outra estratégia é realizarmos um teste t para cada parâmetro. No cenário imposto para o estudo de linearidade, ambas as técnicas são equivalentes no que se diz respeito ao coeficiente angular. Através do modelo de regressão, também é possível avaliar a associação linear entre as variáveis por meio do coeficientes de correlação (r) e de determinação (r²), que são medidas descritivas da qualidade do ajuste do modelo. Nesta etapa, os critérios definidos pela RDC são:
- O coeficiente angular deve ser significativo a um nível de significância de 5%;
- O coeficiente linear (ou intercepto) não deve ser significativo a um nível de significância de 5%;
- O coeficiente de correlação ($ r=\sqrt{r^2} $) deve estar acima de 0,990.
Um ponto crítico para a etapa 2 é a avaliação do coeficiente linear ou intercepto. Na rotina farmacêutica, as amostras são quantificadas através de um padrão único, conforme ilustrado na Figura “Problema de Gestão”.
(imagem em falta)
Se a curva que representa a linearidade passa pelo zero (curva azul), podemos quantificar com padrão único na rotina, pois o segundo ponto para traçar a reta é representado pela origem $ (0,0) $. Em geral, a linearidade do método precisará ser reavaliada quando o valor do coeficiente linear for estatisticamente diferente de zero e tiver magnitude significativa para o sinal analítico na concentração de trabalho. Além disso, caso seja encontrado intercepto estatisticamente diferente de zero e com magnitude significativa frente às respostas analíticas, é recomendável que se utilize uma curva de calibração ao invés de um ponto único para padronização na rotina de análise.
Note que o fato do coeficiente linear (ou intercepto) ser significativamente diferente de zero tem como consequência uma curva de calibração que não passa pela origem. Por outro lado, ao utilizarmos padrão único na rotina, assumimos que a curva passa pela origem. Na rotina utilizamos a curva azul no gráfico “Problema de Gestão”, enquanto que a curva correta seria uma das curvas vermelhas pontilhadas. Esta incoerência tem como consequência um erro de exatidão no método analítico. Na prática, podemos avaliar este erro de exatidão através da magnitude do intercepto perante o sinal analítico, conforme preconizado na guia da ANVISA. Também podemos realizar um estudo de exatidão em vários pontos de concentração para avaliarmos o impacto de quantificarmos com padrão único.
Caso o impacto do coeficiente linear seja alto, o Guia da ANVISA sugere o uso da curva de calibração na rotina. Na nossa opinião, poderíamos substituir a origem $ (0,0) $ por qualquer outro ponto. A partir de dois pontos, derivamos a curva de calibração linear. Por exemplo, podemos utilizar os pontos de $ 90 (porcentagem) $ e $ 110 (porcentagem) $ para obtermos a curva de calibração.
Etapa 3: Para os testes propostos na Etapa 2, supomos que os erros experimentais são independentes e seguem distribuição normal com média zero e variância constante. Nesta etapa, avaliaremos a suposição de que os erros experimentais seguem a distribuição normal. As demais suposições serão checadas nas etapas seguintes. Note que a suposição de normalidade está relacionada aos erros experimentais. Infelizmente, na prática, não temos acesso a eles. O mais próximo que chegamos dos erros experimentais são os resíduos dados por
$$e_{ij} = Y_{ij} - \hat{\beta_0} - \hat{\beta_1} x_{ij}, \quad j=1, \cdots , n_i \quad \text{e} \quad i=1, \cdots k.$$
Uma vez que os erros experimentais não podem ser observados, avaliamos as suposições feitas sobre eles utilizando os resíduos do modelo. A forma mais usual avaliarmos a normalidade dos resíduos é o gráfico “papel de probabilidade” ou o gráfico “QQPlot”. Os dois gráficos são similares no caso da distribuição normal. Nestes gráficos, comparamos os resíduos com a distribuição normal, quanto mais próximos os pontos estiverem da reta que representa a distribuição normal, melhor a aderência dos resíduos à distribuição normal. Na nossa opinião, a forma gráfica é a melhor maneira de avaliarmos a normalidade dos resíduos. Conforme descrito na guia 10 da ANVISA, a análise gráfica basta para realizarmos a análise da normalidade dos resíduos.
Também podemos utilizar testes de hipóteses para checarmos a normalidade dos resíduos. Existem inúmeras estatísticas associadas à hipótese de normalidade. Por exemplo: Kolmogorov-Smirnov, Anderson-Darling, Shapiro-Wilk e Ryan-Joiner. Sabemos que os resíduos são dados por $ e = (I-H)Y $, no qual $ H $ é a matriz chapéu e $ Y $ o vetor com os sinais analíticos. Como a matriz chapéu $ H=X(X^\prime X)^{-1} X^\prime $ é determinística obtemos que $ Var(e)=(I-H) \sigma^2 $. Desde que a matriz de projeção $ (I-H) $ não necessariamente é diagonal, temos que, em geral, os resíduos são correlacionados. Por outro lado, os testes usuais para normalidade de dados assumem a hipótese de independência, fato que não é válido para os resíduos.
Os testes de aderência à distribuição normal são utilizados para testar a hipótese nula de que os resíduos seguem uma distribuição normal versus a hipótese alternativa de que os resíduos não seguem a distribuição normal. Em geral, os testes de normalidade não “funcionam bem” para amostras pequenas (abaixo de 30 observações) e para amostras grandes (acima de 1000 observações). Com amostras pequenas, em geral, os testes não rejeitam a hipótese de normalidade, mesmo que o gráfico de QQ Plot mostre descios com respeito a distribuição normal. Por outro lado, para amostras grandes (acima de 1000 observações) os testes de normalidade, em geral, rejeitam a hipótese de normalidade dos dados, mesmo que o QQ Plot mostre uma boa aderência dos dados com respeito a distribuição normal.
Etapa 4: Conforme mencionado na Etapa 3, supomos que os erros experimentais tenham variâncias iguais. Nesta etapa, estamos interessados em avaliar se essa suposição é razoável. Esta avaliação pode ser feita de duas formas: análise visual e teste de hipótese. Na análise visual, utilizamos o gráfico de resíduos versus valores ajustados. Por outro lado, existem diversos testes para avaliar a homocedasticidade. No Action Stat, trabalhamos com os testes de Cochran, Brown-Forsythe, Breusch Pagan e Goldfeld Quandt.
O teste de Cochran compara as variâncias de cada ponto da curva de calibração. Como, em geral, temos poucas réplicas de cada ponto para calcularmos as variâncias, não consideramos o teste de Cochran apropriado para avaliarmos a homocedasticidade no contexto da linearidade. Nós propomos o teste de Breuch-Pagan para avaliar a homocedasticidade em um estudo de linearidade. Neste teste, tomamos os resíduos ao quadrado
$$u_i=\frac{e_i^2}{SQE} n,$$
no qual $ SQE $ é a soma de quadrados do erro experimental. A partir dos resíduos ao quadrado, ajustamos o modelo de regressão linear entre $ u $ e os valores ajustados $ \widehat{Y} $. Se o modelo for homocedástico, então os resíduos ao quadrado $ (u) $ se comportam de forma “constante” ao longo da reta ajustada $ (\widehat{Y}) $. Neste caso o coeficiente angular deve ser igual a zero. A estatística de Breuch-Pagan $ SQR /2 $ tem distribuição assintótica qui-quadrado com 1 grau de liberdade, no qual $ SQR $ é a soma de quadrados da regressão.
O teste de Brown-Forsythe é um teste para a homocedasticidade que não utiliza a normalidade dos resíduos. Aqui, tomamos a variável $ z_{ij}= \mid e_{i,j} - me_i \mid $, nos quais $ j=1, \cdots ,n_i $ e $ me_i $ é a mediana dos resíduos do ponto de concentração $ i=1, \cdots k $. A partir das observações $ z_{ij} $ realizamos o teste $ F $ da ANOVA para avaliar a homocedasticidade do modelo de regressão linear simples. Este teste é bem simples e pode ser aplicado com segurança no contexto de linearidade.
Caso a suposição de homocedasticidade não seja válida, devemos incluir essa característica no modelo. Neste caso, o ajuste do modelo (contemplado na Etapa 2) deve ser realizado via os Estimadores de Mínimo Quadrados Ponderados. Depois do realizar o ajuste, podemos prosseguir com as análises.
Caso a suposição de homocedasticidade seja válida, podemos prosseguir com as análises sem reajustar o modelo.
Etapa 5: Nesta etapa avaliaremos a presença de “outliers” ou “valores extremos” e de observações que causam grande impacto no modelo, denominadas por “pontos influentes”.
Para avaliar se uma observação é um “outlier” (ou “valor extremo”), em geral, avaliamos algum critério relacionado com o resíduo da regressão associado a essa observação. Visando deixar todos os resíduos na mesma escala, utilizamos em seu lugar alguma padronização. As padronizações mais utilizadas são os “resíduos padronizados” e os “resíduos studentizados”. Em geral, comparamos essas padronizaações com os quantis da distribuição normal padrão. Por exemplo, podemos considerar que uma observação é um “outlier” se o resíduo padronizado, relacionado a essa observação, for menor que -3 ou maior que 3, o que corresponde a um intervalo com $ 99,73(porcentagem) $ da distribuição normal padrão.
Por outro lado, avaliamos se uma observação é um ponto de alavanca analisando alguma medida relacionada com a covariável x. Em geral, nos atentamos à diagonal da matriz chapéu (matriz hat; hat matrix; H). Os elementos da diagonal da matiz são demoninamos “leverage” de modo que o i-ésimo elemento está associado à “influência” da i-ésima observação do estudo. Nesta análise, utilizamos as seguintes medidas:
- DFFITS: mede a influência que a observação i tem sobre seu próprio valor ajustado;
- DFBETA:mede a influência da observação i sobre o coeficiente de Xj;
- Distância de Cook: a distância de Cook combina as medidas DFFITS e DFBETA.
Novamente, associamos essas estatísticas com pontos de corte para arbitrar se uma observação é ou não um ponto influente.
Etapa 6: Aqui estamos interessados em avaliar a última suposição sob os erros experimentais: independência. Utilizamos métodos gráficos e testes de hipóteses. Um gráfico apropriado para essa análise é o de “resíduos padronizados” por “ordem de coleta”. Caso os pontos não apresentem nenhum padrão (por exemplo um formato de cone), temos indícios de que a suposição é satisfeita. Caso apresente, devemos investigar a(s) causa(s) desse fenômeno. Também podemos utilizar o teste de Durbin-Watson, no qual H0 é a hipótese de que as observações são independentes.
Exemplo Linearidade HPLC
Considere o experimento para linearidade de uma metodologia analítca com o HPLC. Os dados foram obtidos a partir de três soluções estoques pesadas de forma independentes. Neste experimento, temos 5 pontos de concentração e três réplicas obtidas de diluições das soluções estoques.
| Concentração | Área |
|---|---|
| 31800 | 88269 |
| 31680 | 86954 |
| 31600 | 88492 |
| 36080 | 99580 |
| 36600 | 101235 |
| 36150 | 100228 |
| 39641 | 108238 |
| 40108 | 109725 |
| 40190 | 110970 |
| 43564 | 118102 |
| 43800 | 119044 |
| 43800 | 119044 |
| 43776 | 118292 |
| 47680 | 129714 |
| 47800 | 129481 |
| 47341 | 130213 |
Neste exemplo, utilizamos a seguinte notação:
- X: Concentração
- Y: Área
Estimamos o parâmetros do modelo linear através do método dos mínimos quadrados ordinários. Para isto, utilizamos as seguintes quantidades:
- $ \bar{X} $ = 39854
- $ \bar{Y} $ = 109235,8
- $ S_{xx} $ = 463741158
- $ S_{yy} $ = 3135113424
- $ S_{xy} $ = 1204279553
| Estimativa | Desvio Padrão | Estat.t | P-Valor | Limite inferior | Limite superior | |
|---|---|---|---|---|---|---|
| Intercepto | 5739,7948 | 1442,3545 | 3,9795 | 0,0016 | 2623,7772 | 8855,8123 |
| Concentração | 2,5969 | 0,03358 | 72,4499 | 0 | 2,5194 | 2,6743 |
Assim, o modelo ajustado é dado por:
Área = 5739,7948 + 2,5969 * Concentração
Com a tabela acima, além das estimativas dos parâmetros, podemos avaliar a significância dos parâmetros por meio do teste T. Em relação ao parâmetro intercepto, temos que as hipóteses são dadas por:
$ H_{0} $ : Intercepto é igual a zero.
$ H_{1} $ : Intercepto é diferente de zero.
A estatística de teste é dada por:
$$ T = \frac{\hat{\beta_{0}}}{\sqrt{\hat{Var(\beta_{0})}}} = \frac{5739,7948}{1442,3545} = 3,9795 ,$$
no qual $ \sqrt{\hat{Var(\beta_{0})}} $ é o desvio padrão do intercepto dado na tabela acima.
O quantil da distribuição T para a obtenção da região crítica é dado por $ t_{(0,95, 13)} = 1,770933 $. Como o p-valor associado ao teste, $ \text{P-valor} = 2 P( t_{(0,95, 13)} > | \text{t} | ) = 0,0016 $, é menor que 0,05, rejeitamos $ H_0 $ e concluímos que o intercepto é diferente de zero ao nível de significância de 5%.
Em relação ao coeficiente angular, temos que as hipóteses são:
$ H_{0} $ : Coeficiente angular é igual a zero.
$ H_{1} $ : Coeficiente angular é diferente de zero.
A estatística de teste é dada por:
$$ T = \frac{\hat{\beta_{1}}}{\sqrt{\hat{Var(\beta_{1})}}} = \frac{2,5969}{0,03358} = 72,4499 ,$$
no qual $ \sqrt{\hat{Var(\beta_{1})}} $ é o desvio padrão do coeficiente angular dado na tabela acima.
O quantil da distribuição T para a obtenção da região crítica é dado por $ t_{(0,95, 13)} = 1,770933 $. Como o p-valor associado ao teste, $ \text{P-valor} = 2 P( t_{(0,95, 13)} > | \text{t} | ) = \ 0 \ $, é menor que 0,05, rejeitamos $ H_0 $ e concluímos que o coeficiente angular é diferente de zero ao nível de significância de 5%.
Avaliamos também a significância dos parâmetros por meio do teste F da ANOVA. Vale ressaltar que temos um modelo de regressão simples, desta forma o teste F da ANOVA é equivalente ao teste T. A seguir, apresentamos a Tabela da ANOVA.
Tabela ANOVA.
| Fatores | Graus de liberdade | Soma dos quadrados | Quadrado médio | Estat. F | P-Valor |
|---|---|---|---|---|---|
| Concentração | 1 | 3127367965,4155 | 3127367965,4155 | 5248,9831 | 0 |
| Resíduos | 13 | 7745758,9845 | 595804,5373 | ||
| Total | 14 | 31355113424 |
Para testarmos a significância do coeficiente angular do modelo com o teste F da ANOVA, apresentamos as seguintes hipóteses:
$ H_{0} $ : Coeficiente angular é igual a zero.
$ H_{1} $ : Coeficiente angular é diferente de zero.
A estatística de teste é dada por:
$$ F_{OBS} = \frac{QMR}{QME} = \frac{ \frac{SQR}{1} }{ \frac{SQE}{13} } = \frac{\frac{3127367965,4155}{1}}{\frac{7745458,9845}{13} } = \frac{3127367965,4155}{595804,5373} = 5248,9831 $$
A região crítica para o teste F é dada por $ F_{(0,95, 1, 13)} = 4,667193 $. Como a estatística observada $ F_{OBS} > \ \text{4,667193} $ é maior que o quantil da distribuição para a determinação da região crítica (a estatística observada pertence a região crítica) e o p-valor associado ao teste $ \text{P-valor} = 2 P( F_{(0,95, 1, 13)} > F_{OBS} ) = 0 $, rejeitamos a hipótese nula ao nível de significância de 5%.
A tabela a seguir, apresenta a análise exploratória dos resíduos.
| Mínimo | 1Q | Mediana | Média | 3Q | Máximo |
|---|---|---|---|---|---|
| -1129 | -444,7 | -51,54 | 0 | 611 | 1534 |
Observando a tabela acima, notamos que os valores de mínimo e máximo, em módulo, não apresentam uma diferença notável, assim como a mediana e a média, o que nos dá indícios de que a distribuição dos resíduos é simétrica.
Além do teste de hipótese para o coeficiente linear, avaliamos também o impacto do intercepto na resposta analítica, que é dado na tabela a seguir.
| Concentração | Resposta | Impacto do coeficiente linear (%) |
|---|---|---|
| 31800 | 88269 | 6,5026 |
| 31680 | 86954 | 6,601 |
| 31600 | 88492 | 6,4862 |
| 36080 | 99580 | 6,4862 |
| 36600 | 101235 | 5,6698 |
| 36150 | 100228 | 5,7267 |
| 39641 | 108238 | 5,3029 |
| 40108 | 109725 | 5,2311 |
| 40190 | 110970 | 5,1724 |
| 43564 | 118102 | 4,86 |
| 43800 | 119044 | 4,8216 |
| 43776 | 118292 | 4,8522 |
| 47680 | 129714 | 4,425 |
| 47800 | 129481 | 4,4329 |
| 47241 | 130213 | 4,408 |
A partir da tabela acima, observamos que para todos os pontos de concentração, temos um impacto do coeficiente linear superior a 2%, valor definido como o máximo aceitável de impacto na quantificação. Além disso o resultado do impacto está em conformidade com o resultado do teste do intercepto. Desta forma o ideal seria quantificar os resultados da rotina com uma curva de calibração, mas caso seja utilizado ponto único será necessário investigar o impacto.
Vamos analisar o coeficiente de correlação de Pearson, como dito anteriormente, ele mede o grau de proporcionalidade entre a variável explicativa (concentração) e a varíavel resposta (área).
| Desvio padrão dos resíduos | Graus de liberdade | $ R^2 $ | Coeficiente de correlação |
|---|---|---|---|
| 771,8838 | 13 | 0,9975 | 0,9988 |
Temos que o coeficiente de determinação $ R^2 $ e o coeficiente de correlação $ r $ são dados por:
$$ R^2 = \frac{SQR}{SQT} = \frac{\hat{\beta_{1}}S_{xy}}{S_{yy}} = \frac{2,5969*1204279553}{3135113424} = 0,9975\ \text{e} \ r = \sqrt{R^{2}} = 0,9988 $$
Logo o critério da RDC em relação ao coeficiente é satisfeto, visto que $ r = 0,9988 $ está acima do valor especificado, 0,990, pela agência reguladora. Note que o coeficiente de determinação representa a relação sinal/ruído, em que $ SQR $ está relacionada ao sinal analítico e o ruído está relacionada ao $ SQT $.
(imagem em falta)
Observando o gráfico de valores ajustados, notamos que a diferença entre a variável resposta e a reta ajustada é baixa, mas vale ressaltar que a magnitude da resposta (eixo y) é alta.
A seguir, analisamos as principais suposições impostas sobre os erros experimentais por meio do gráfico 4 em 1.
(imagem em falta)
Observando o gráfico de resíduo padronizado vs valores ajustados, notamos que não temos possíveis outliers, isto é, nenhum dos pontos possui um valor alto de resíduo.
Observando o QQPlot, notamos que os pontos se aproximam da reta pontilhada - em azul -, e que todos os resultados estão contidos na banda de confiança, o que nos dá indícios de que a suposição de normalidade para os erros experimentais é satisfeita.
Observando o gráfico de resíduos X valores ajustados, notmaos que os pontos parecem se distribuir aleatoriamente, isto é, não observamos nenhum comportamento claro, como smile e cone. O que nos dá indícios de que a variância dos erros experimentais é homoscedástica. É interessante ressaltar que o comportamento mais comum é o de cone, este comportamento indica que conforme os valores ajustados aumentam os resíduos também aumentam.
Observando o gráfico de resíduos X ordem de coleta, desejamos verificar se encontramos um comportamento nos pontos. Um comportamento pode significar sujeira na vidraria, sujeira na agulha, cansaço do analista, etc. Notamos que os pontos parecem se distribuir aleatoriamente, o que nos dá indícios da independência dos erros experimentais e que não tivemos nenhum comportamento como os exemplificados.
Para validar nossas suspeitas a partir da análise gráfica, vamos verificar cada hipótese levantada por meio dos testes estatísticos.
A seguir, analisamos a normalidade dos erros experimentais, no qual as hipóteses são:
$ H_{0} $ : A distribuição dos erros experimentais é normal.
$ H_{1} $ : A distribuição dos erros experimentais não é normal.
| Teste | Estatística | P-Valor |
|---|---|---|
| Anderson-darling | 0,1538 | 0,9446 |
| Kolmogorov-Smirnov | 0,0998 | 0,9542 |
| Ryan-Joiner | 0,9899 | 0,9241 |
| Shapiro-Wilk | 0,9759 | 0,9340 |
Aqui adotamos o teste de Shapiro-Wilk para avaliar a normalidade. Como o p-valor do teste de Shapiro-Wilk, p-valor 0,9340, é maior que 0,05, não rejeitamos a hipótese de normalidade dos erros experimentais ao nível de significância de 5%. Note que o resultado do teste de Shapiro-Wilk está em conformidade com a análise gráfica do QQPlot.
A seguir, analisamos a homoscedasticidade por meio do teste de Breusch-Pagan, no qual as hipóteses são:
$ H_{0} $ : As variâncias são iguais.
$ H_{1} $ : Pelo menos uma variância difere.
| Estatística | P-Valor |
|---|---|
| 0,5829 | 0,4452 |
Como o p-valor do teste é maior que 0,05, não rejeitamos a hipótese de igualdade das variâncias ao nível de significância de 5%. Note que o resultado do teste está em conformidade com a análise gráfica dos resíduos X valores ajustados. Logo, temos um modelo homocedástico.
O teste de Breusch-Pagan é o que melhor se adequa ao nosso objetivo, visto que assumimos a suposição de normalidade para os erros experimentais. Os teste de Cochran e de Brown-Forsythe não se adequam ao nosso objetivo pois necessitam de grupos e, como os dados do exemplo foram coletados de forma independente, os testes em questão não poderiam ser realizados. Já o teste de Goldfeld-Quandt tem como limitação a exigência de amostras relativamente grandes.
A seguir, analismos os valores extremos. Para isto, avaliamos os resíduos padronizados e os resíduos studentizado.
| Número obs. | Concentração | Resíduos | Resíduos Studentizados | Resíduos Padronizados |
|---|---|---|---|---|
| 1 | 31800 | -51,5386 | -0,072 | -0,075 |
| 2 | 31680 | -1054,9132 | -1,6342 | -1,5384 |
| 3 | 31600 | 690,8371 | 1,01 | 1,0092 |
| 4 | 36080 | 144,8204 | 0,19 | 0,1975 |
| 5 | 36600 | 449,4434 | 0,5949 | 0,6102 |
| 6 | 36150 | 611,0388 | 0,8223 | 0,8327 |
| 7 | 39641 | -444,6648 | -0,5809 | -05963 |
| 8 | 40108 | -170,4072 | -0,22 | -0,2285 |
| 9 | 40190 | 861,6487 | 1,1721 | 1,1556 |
| 10 | 43564 | -768,2201 | -1,0512 | -1,047 |
| 11 | 43800 | -439,0835 | -0,5843 | -0,5997 |
| 12 | 43776 | -1128,7584 | -1,638 | -1,5413 |
| 13 | 47680 | 155,027 | 0,216 | 0,2244 |
| 14 | 47800 | -389,5984 | -0,5499 | -,05653 |
| 15 | 47341 | 1534,3689 | 2,6783 | 2,2054 |
Como critério para a análise serão considerados valores extremos na resposta as observações com resíduos studentizados e/ou padronizados mariores que 3, em módulo.
(imagem em falta)
(imagem em falta)
Observando a tabela acima e os gráficos de resíduos padronizado vs valores ajustados e resíduos studentizado vs valores ajustados, notamos que não existem resíduos studentizados e padronizados com valores maiores que três, em módulo, logo não temos outliers.
A seguir, analisamos os pontos influentes por meio das medidas DFFITS, DFBETA e a distância de Cook. Os critérios para análise dos pontos influentes são dados por:
| Diagnóstico | Fórmula | Valor |
|---|---|---|
| DFFITS | $ 2 \sqrt{(p+1)/n} $ | 0,73 |
| DCOOK | $ 4/n $ | 0,2667 |
| DFBETA | $ 2/\sqrt{n} $ | 0,52 |
(imagem em falta)
(imagem em falta)
(imagem em falta)
| Observações | DFFITS | Critério |
|---|---|---|
| 2 | -0,84 | $ \pm $ 0,73 |
| 15 | 1,29 | $ \pm $ 0,73 |
| Observações | DCOOK | Critério |
|---|---|---|
| 2 | 0,3159 | 0,2667 |
| 15 | 0,5613 | 0,2667 |
| Observações | DFBETA | Critério |
|---|---|---|
| 2 | 0,6982 | 0,5164 |
| 15 | 1,033 | 0,5164 |
A partir dos critérios estabelecidos pelas medidas e pela observação dos gráficos das medidas, temos que as observações 2 e 15 são pontos influentes para todas as três medidas citadas.
Por fim, vamos analisar a independência das observações.
(imagem em falta)
Observando o gráfico de resíduos X ordem de coleta, notamos que não existe uma tendência dos pontos, isto é, não temos sequências de pontos decrescentes ou crescentes, logo temos indícios de que não há dependência das observações. Para confirmarmos isto, vamos aplicar o teste de Durbin-Watson. As hipóteses do teste são:
$ H_{0} $ : As observações são independentes.
$ H_{1} $ : As observações não são independentes.
| Estatística | P-Valor |
|---|---|
| 2,0158 | 0,3943 |
Aplicando o teste de Durbin-Watson, obtemos um p-valor de 0,3943, valor maior que 0,05. Logo não rejeitamos a hipótese de independência das observações ao nível de significância de 5%.
Logo, os critérios da RDC 166 que foram atendidos são:
- Coeficiente angular significativo ao nível de significância de 5%;
- Coeficiente de correlação superior a 0,990;
- Homoscedasticidade;
- Normalidade dos erros experimentais;
- Independência das observações.
Contudo não foi atendido o critério em relação ao coeficiente linear, visto que ele foi significativo a um nível de singificância de 5%, desta forma precisamos analisar o impacto do coeficiente linear. o impacto do coeficiente para cada observação mostrou-se superior a 3%, valor definido como máximo aceitável.
Exemplo Linearidade: pesagens independentes
A seguir, apresentamos os dados coletados.
| Concentração | Área |
|---|---|
| 12,1442 | 3,0575 |
| 12,1385 | 3,0408 |
| 12,1442 | 3,0358 |
| 13,6644 | 3,4189 |
| 13,6606 | 3,4071 |
| 13,6526 | 3,408 |
| 15,1759 | 3,7866 |
| 15,1683 | 3,7858 |
| 15,1835 | 3,7958 |
| 16,6912 | 4,1651 |
| 16,684 | 4,145 |
| 16,6859 | 4,1415 |
| 18,2019 | 4,5253 |
| 18,1996 | 4,524 |
| 18,1909 | 4,5363 |
Antes de iniciar o estudo do parâmetro Linearidade, é interessante ressaltar que os dados são provenientes de soluções mães diferentes, isto é, para cada concentração ocorreu uma pesagem, assim os experimentos foram realizados de maneira independente. Dito isto, inciamos o estudo de linearidade. Neste exemplo, utilizamos a seguinte notação:
- X: Concentração
- Y: Área
Por meio do método de mínimos quadrados ordinários, estimamos os parâmetros do modelo, mas para estimar os parâmetros precisamos das seguintes quantidades:
- $ \bar{X} $ = 15,17237
- $ \bar{Y} $ = 3,7849
- $ S_{xx} $ = 68,74924
- $ S_{yy} $ = 4,123262
- $ S_{xy} $ = 16,83467
| Estimativa | Desvio Padrão | Estat.t | P-Valor | Limite inferior | Limite superior | |
|---|---|---|---|---|---|---|
| Intercepto | 0,0696 | 0,0157 | 4,4228 | 0,0007 | 0,0356 | 0,1036 |
| Concentração | 0,2449 | 0,001 | 238,3242 | 0 | 0,2427 | 0,2471 |
Portanto, o modelo ajustado é:
Área = 0,0696 + 0,2449 * Concentração
Por meio da tabela acima, além das estimativas calculadas, podemos avaliar a significância dos parâmetros por meio do teste T, como visto no exemplo 1.2.1.1, logo as estatísticas de teste serão similares às do exemplo anterior.
Em relação ao parâmetro intercepto, temos que as hipóteses são:
$ H_{0} $ : Intercepto é igual a zero.
$ H_{1} $ : Intercepto é diferente de zero.
O quantil da distribuição T para a obtenção da região crítica é dado por $ t_{(0,95, 13)} = 1,770933 $. Como o p-valor associado ao teste, $ \text{P-valor} = 2 P( t_{(0,95, 13)} > | \text{t} | ) = 0,0007 $, é menor que 0,05, rejeitamos $ H_0 $ e concluímos que o intercepto é diferente de zero ao nível de significância de 5%.
Em relação ao coeficiente angular, temos que as hipóteses são:
$ H_{0} $ : Coeficiente angular é igual a zero.
$ H_{1} $ : Coeficiente angular é diferente de zero.
O quantil da distribuição T para a obtenção da região crítica é dado por $ t_{(0,95, 13)} = 1,770933 $. Como o p-valor associado ao teste, $ \text{P-valor} = 2 P( t_{(0,95, 13)} > | \text{t} | ) = \ 0 \ $, é menor que 0,05, rejeitamos $ H_0 $ e concluímos que o coeficiente angular é diferente de zero ao nível de significância de 5%.
Avaliamos também a significância dos parâmetros por meio do teste F da ANOVA. Vale ressaltar que temos um modelo de regressão simples, desta forma o teste F da ANOVA é equivalente ao teste T.
A seguir, testamos a significância dos parâmetros do modelo.
Tabela ANOVA
| Fatores | Graus de liberdade | Soma dos quadrados | Quadrado médio | Estat. F | P-Valor |
|---|---|---|---|---|---|
| Concentração | 1 | 4,1223 | 4,1223 | 56798,4007 | 0 |
| Resíduos | 13 | 0,0009 | 0,0001 | ||
| Total | 14 | 4,1232 |
Para testarmos o coeficiente angular do modelo utilizamos o teste F da ANOVA, neste caso testamos as hipóteses:
$ H_{0} $ : Coeficiente angular é igual a zero.
$ H_{1} $ : Coeficiente angular é diferente de zero.
A região crítica para o teste F é dada por $ F_{(0,95, 1, 13)} = 4,667193 $. Como a estatística observada $ \ | \text{F} | > \ \text{4,667193} $ é maior que o quantil da distribuição para a determinação da região crítica, isto é, a estatística observada pertence a região crítica, e o p-valor associado ao teste $ \text{P-valor} = 2 P( F_{(0,95, 1, 13)} > | \text{F} | ) = 0 $, rejeitamos a hipótese nula ao nível de significância de 5%.
A tabela a seguir, apresenta a análise exploratória dos resíduos.
| Mínimo | 1Q | Mediana | Média | 3Q | Máximo |
|---|---|---|---|---|---|
| -0,014 | -0,0076 | -0,0012 | 0 | 0,0082 | 0,0141 |
Observando a tabela acima, notamos que os valores da mediana e da média, em módulo, estão extremamente próximos, assim como os valores de mínimo e máximo, isto dá indícios de que a distribuição dos resíduos é simétrica.
Além do teste de hipótese para o coeficiente linear, avaliamos também o impacto do intercepto na resposta analítica. O impacto é dado na tabela a seguir.
| Concentração | Resposta | Impacto do coeficiente linear (%) |
|---|---|---|
| 12,1442 | 3,0575 | 2,2774 |
| 12,1385 | 3,0408 | 2,2899 |
| 12,1442 | 3,0358 | 2,2936 |
| 13,6644 | 3,4189 | 2,0366 |
| 13,6606 | 3,4071 | 2,0437 |
| 13,6526 | 3,408 | 2,0431 |
| 15,1759 | 3,7866 | 1,8389 |
| 15,1683 | 3,7858 | 1,8393 |
| 15,1835 | 3,7958 | 1,8344 |
| 16,6912 | 4,1651 | 1,6718 |
| 16,684 | 4,145 | 1,6799 |
| 16,6859 | 4,1415 | 1,6813 |
| 18,2019 | 4,5253 | 1,5387 |
| 18,1996 | 4,524 | 1,5391 |
| 18,1909 | 4,5363 | 1,535 |
A partir da tabela acima observamos que, para os pontos de concentração mais baixos, isto é, para os pontos 12,1442 à 13,6526, temos $ ICL_{i} > 2(porcentagem) $, valor definido como o máximo aceitável de impacto na quantificação. Logo é recomendável que se utilize uma curva de calibração com no mínimo 2 pontos ao invés de um único ponto para padronização na rotina de análise. Caso se utilize ponto único, deve-se investigar o impacto.
A seguir, analisamos o coeficiente de correlação de Pearson.
| Desvio padrão dos resíduos | Graus de liberdade | $ R^2 $ | Coeficiente de correlação |
|---|---|---|---|
| 0,0085 | 13 | 0,9998 | 0,9999 |
Como o coefiente de correlação, $ r = 0,9999 $, é maior que 0,9900 conforme especificado pela agência reguladora, concluímos que existe uma relação linear adequada. Como dito no exemplo anterior, o coeficiente de determinação representa a relação sinal/ruído.
(imagem em falta)
Observando o gráfico acima, notamos que a diferença entre a resposta e a reta ajustada é extremamente baixa.
A seguir, analisamos as principais suposições impostas sobre os erros experimentais por meio do gráfico 4 em 1.
(imagem em falta)
Observando o gráfico de resíduo padronizado vs valores ajustados, notamos que não temos possíveis valores extremos, isto é, nenhum dos pontos possui um valor alto de resíduo.
Observando o QQPlot notamos que os pontos se aproximam da reta pontilhada - em azul -, e que todos os resultados estão contidos na banda de confiança, o que dá indícios de que a suposição de normalidade para os erros experimentais é satisfeita.
Observando o gráfico de resíduos X valores ajustados, notamos que os pontos não possuem um comportamento claro, como smile ou smirk. Logo temos indícios de que a variância dos erros experimentais é homoscedástica.
Observando o gráfico de resíduos X ordem de coleta, notamos que os pontos parecem se distribuir aleatoriamente, isto é, não temos nenhum comportamento aparente, como uma sequência de pontos crescente ou decrescente. Logo temos indícios da independência dos erros experimentais.
Para validar nossas suspeitas a partir da análise gráfica, verificaremos as hipóteses levantadas por meio de testes estatísticos.
A seguir, analisamos a normalidade dos erros experimentais, no qual as hipóteses são:
$ H_{0} $ : A distribuição dos erros experimentais é normal.
$ H_{1} $ : A distribuição dos erros experimentais não é normal.
| Teste | Estatística | P-Valor |
|---|---|---|
| Anderson-darling | 0,1727 | 0,911 |
| Kolmogorov-Smirnov | 0,1073 | 0,913 |
| Ryan-Joiner | 0,9917 | 0,9585 |
| Shapiro-Wilk | 0,9748 | 0,9221 |
Aqui adotamos o teste de Shapiro-Wilk para avaliar a normalidade. Como o p-valor do teste de Shapiro-Wilk, p-valor 0,9221, é maior que 0,05, não rejeitamos a hipótese de normalidade dos erros experimentais ao nível de significância de 5%.
A seguir, analisamos a homoscedasticidade por meio do teste de Breusch-Pagan, no qual as hipóteses são:
$ H_{0} $ : As variâncias são iguais.
$ H_{1} $ : Pelo menos uma variância difere.
| Estatística | P-Valor |
|---|---|
| 0,0216 | 0,8832 |
Como o p-valor do teste é maior que 0,05, não rejeitamos a hipótese de igualdade das variâncias ao nível de significância de 5%. Logo, temos um modelo homocedástico. Observe que o resultado do teste de Breusch-Pagan está em conformidade com a análise gráfica.
A seguir, analisamos os valores extremos. Para isto, avaliamos os resíduos padronizados e os resíduos studentizados.
| Número obs. | Concentração | Resíduos | Resíduos Studentizados | Resíduos padronizados |
|---|---|---|---|---|
| 1 | 12,1442 | 0,0141 | 2,0742 | 1,8523 |
| 2 | 12,1385 | -0,0012 | -0,1509 | -0,157 |
| 3 | 12,1442 | -0,0076 | -0,9953 | -0,9957 |
| 4 | 13,6644 | 0,0033 | 0,3898 | 0,4031 |
| 5 | 13,6606 | -0,0076 | -0,9376 | -0,9419 |
| 6 | 13,6526 | -0,0048 | -0,5742 | -0,5896 |
| 7 | 15,1759 | 0,0008 | 0,098 | 0,1019 |
| 8 | 15,1683 | 0,0019 | 0,2217 | 0,2303 |
| 9 | 15,1835 | 0,0082 | 0,9941 | 0,9945 |
| 10 | 16,6912 | 0,0083 | 1,0286 | 1,0263 |
| 11 | 16,684 | -0,01 | -1,2717 | -1,2426 |
| 12 | 16,6859 | -0,014 | -1,8991 | -1,7332 |
| 13 | 18,2019 | -0,0014 | -0,1818 | -0,189 |
| 14 | 18,1996 | -0,0022 | -0,2762 | -0,2866 |
| 15 | 18,1909 | 0,0122 | 1,7243 | 1,6067 |
Como critério para a análise serão considerados valores extremos na resposta as observações com resíduos studentizados e/ou padronizados mariores que 3, em módulo.
(imagem em falta)
(imagem em falta)
Observando a tabela acima e os gráficos de resíduos padronizado vs valores ajustados e resíduos studentizado vs valores ajustados, notamos que não existem resíduos studentizados e padronizados com valores maiores que três, em módulo, logo não temos valores extremos.
A seguir, analisamos os pontos influentes por meio das medidas DFFITS, DFBETA e a distância de Cook. Os critérios para análise dos pontos influentes são dados por:
| Diagnóstico | Fórmula | Valor |
|---|---|---|
| DFFITS | $ 2 \sqrt{(p+1)/n} $ | 0,73 |
| DCOOK | $ 4/n $ | 0,2667 |
| DFBETA | $ 2/\sqrt{n} $ | 0,52 |
(imagem em falta)
(imagem em falta)
(imagem em falta)
| Observações | DFFITS | Critério |
|---|---|---|
| 1 | 1,04 | $ \pm $ 0,73 |
| 15 | 0,86 | $ \pm $ 0,73 |
| Observações | DCOOK | Critério |
|---|---|---|
| 1 | 0,429 | 0,2667 |
| 15 | 0,3211 | 0,2667 |
| Observações | DFBETA | Critério |
|---|---|---|
| 1 | -0,847 | 0,5164 |
| 15 | 0,7015 | 0,5164 |
A partir dos critérios estabelecido pelas medidas e pela observação dos gráficos DFFITS, D-COOK e DFBETA, temos que as obervações 1 e 15 são pontos influentes.
A seguir, analisamos a independência das observações.
(imagem em falta)
Obervando o gráfico acima, notamos que não existe nenhuma tendência aparente dos pontos, isto é, não temos sequências de pontos decrescentes ou crescentes. Logo temos indícios de que não há dependência das observações. Para validar esta suspeita iremos aplicar o teste de Durbin-Watson. as hipóteses do teste são:
$ H_{0} $ : As observações são independentes.
$ H_{1} $ : As observações não são independentes.
| Estatística | P-Valor |
|---|---|
| 1,3885 | 0,0577 |
Aplicando o teste, obtemos um p-valor de 0,0577. Como o p-valor é maior que 0,05 não rejeitamos a hipótese de indenpendência das observações a um nível de significância de 5%.
Logo, os critérios da RDC 166 que foram atendidos são:
- Coeficiente angular significativo ao nível de significância de 5%;
- Coeficiente de correlção superior a 0,990;
- Modelo homocedástico;
- Normalidade dos erros experimentais;
- Independência das observações.
Contudo o critério em relação ao intercepto não foi atendido, visto que este se mostrou significativo ao nível de significância de 5%. É interessante ressaltar que o impacto mostrou-se, para os pontos de concentração mais baixos, superior a 2%, valor definido como o máximo aceitável. Desta forma deve-se investigar o impacto caso seja utilizado ponto único.
Exemplo Linearidade Cromatógrafo: Heteroscedástico
A seguir, apresentamos os dados coletados.
| Concentração | Área |
|---|---|
| 1,998 | 91287,2967 |
| 1,998 | 92634,5279 |
| 1,998 | 87717,324 |
| 3,9959 | 181620,124 |
| 3,9959 | 183739,1996 |
| 3,9959 | 175633,4481 |
| 5,9939 | 288422,6727 |
| 5,9939 | 276836,9997 |
| 5,9939 | 271491,458 |
| 7,9918 | 371431,3043 |
| 7,9918 | 378810,2832 |
| 7,9918 | 361987,7019 |
| 8,9908 | 445930,366 |
| 8,9908 | 425366,3293 |
| 8,9908 | 440825,634 |
| 9,9898 | 470969,3284 |
| 9,9898 | 453986,2756 |
| 9,9898 | 592596,0537 |
| 10,9887 | 543081,3348 |
| 10,9887 | 480101,757 |
| 10,9887 | 529028,7698 |
| 11,9877 | 602909,3744 |
| 11,9877 | 523645,5587 |
| 11,9877 | 586988,7449 |
Antes de iniciar o estudo do parâmetro Linearidade, é interessante ressaltar que os dados são provenientes de soluções diluídas de uma mesma solução mãe, logo temos “quase-réplicas”, ou seja, para cada ponto de concentração ocorreu uma pesagem, assim os experimentos foram realizados de modo independente. Dito isto, iniciamos o estudo de linearidade. Neste exemplo utilizamos a seguinte notação:
- X: Concentração
- Y: Área
Por meio do método de mínimos quadrados ordinários, estimamos os parâmetros do modelo, mas para estimar os parâmetros precisamos das seguintes quantidades:
- $ \bar{X} $ = 7,742075
- $ \bar{Y} $ = 331960,1
- $ S_{xx} $ = 2559726
- $ S_{yy} $ = 785903657767
- $ S_{xy} $ = 11190952
Na tabela abaixo apresentamos as estimativas, desvio padrão e o teste de hipótese para o intercepto e para o coeficiente angular.
| Estimativa | Desvio Padrão | Estat.t | P-Valor | Limite inferior | Limite superior | |
|---|---|---|---|---|---|---|
| Intercepto | -9442,9682 | 10136,1715 | -0,9316 | 0,3616 | -30464,1012 | 11578,1649 |
| Concentração | 48402,5767 | 1206,3004 | 40,1248 | 0 | 45900,8629 | 50904,2906 |
Portanto, o modelo ajustado é:
Área = -9442,9682 + 48402,5767 * Concentração
Por meio da tabela acima, além das estimativas calculadas, podemos avaliar a significância dos parâmetros por meio do teste T, como visto no exemplo 1.1.2.1.
Em relação ao parâmetro intercepto, temos que as hipóteses são:
$ H_{0} $ : Intercepto é igual a zero.
$ H_{1} $ : Intercepto é diferente de zero.
O quantil da distribuição T para a obtenção da região crítica é dado por $ t_{(0,95, 22)} = \ 1,717144 $. Como o p-valor associado ao teste, $ \text{P-valor} = 2 P( t_{(0,95, 22)} > | \text{t} | ) = \ 0,3616 \ $, é maior que 0,05, não rejeitamos $ H_0 $ e concluímos que o intercepto é igual a zero ao nível de significância de 5%.
Em relação ao coeficiente angular, temos que as hipóteses são:
$ H_{0} $ : Coeficiente angular é igual a zero.
$ H_{1} $ : Coeficiente angular é diferente de zero.
O quantil da distribuição T para a obtenção da região crítica é dado por $ t_{(0,95, 22)} = \ 1,717144 $. Como o p-valor associado ao teste, $ \text{P-valor} = 2 P( t_{(0,95, 22)} > | \text{t} | ) = \ 0 \ $, é menor que 0,05, rejeitamos $ H_0 $ e concluímos que o coeficiente angular é diferente de zero ao nível de significância de 5%.
Avaliamos também a significância dos parâmetros por meio do teste F da ANOVA. Note que temos um modelo de regressão simples, logo, como dito anteriormente, o teste F da ANOVA é equivalente ao teste T.
A seguir, testamos a significância dos parâmetros do modelo.
Tabela ANOVA
| Fatores | Graus de liberdade | Soma dos quadrados | Quadrado médio | Estat. F | P-Valor |
|---|---|---|---|---|---|
| Concentração | 1 | 599694955424,175 | 599694955424,175 | 1610,0007 | 0 |
| Resíduos | 22 | 8194586069,4757 | 372481184,9762 | ||
| Total | 23 | 607889541494 |
Para testarmos o coeficiente angular do modelo utilizamos o teste F da ANOVA, neste caso testamos as hipóteses:
$ H_{0} $ : Coeficiente angular é igual a zero.
$ H_{1} $ : Coeficiente angular é diferente de zero.
A região crítica para o teste F é dada por $ F_{(0,95, 1, 22)} = 4,30095 $. Como a estatística observada $ \ | \text{F} | > \ \text{4,30095} $ é maior que o quantil da distribuição para a determinação da região crítica, isto é, a estatística observada pertence a região crítica, e o p-valor associado ao teste $ \text{P-valor} = 2 P( F_{(0,95, 1, 22)} > | \text{F} | ) = 0 $, rejeitamos a hipótese nula ao nível de significância de 5%.
A tabela a seguir, apresenta a análise exploratória dos resíduos.
| Mínimo | 1Q | Mediana | Média | 3Q | Máximo |
|---|---|---|---|---|---|
| -47150 | -7739 | 111,1 | 0 | 13250 | 32120 |
Observando a tabela acima, notamos que os valores de mínimo e máximo, em módulo, apresentam uma diferença notável, assim como os valores da mediana e da média, o que dá indícios de que a distribuição dos resíduos é assimétrica.
Além do teste de hipótese para o coeficiente linear, avaliamos também o impacto deste na resposta analítica. O impacto é dado na tabela a seguir.
| Concentração | Área | Impacto do coeficiente linear (%) |
|---|---|---|
| 1,998 | 91287,2967 | 10,3442 |
| 1,998 | 92634,5279 | 10,1938 |
| 1,998 | 87717,324 | 10,7652 |
| 3,9959 | 181620,124 | 5,1993 |
| 3,9959 | 183739,1996 | 5,1393 |
| 3,9959 | 175633,4481 | 5,3765 |
| 5,9939 | 288422,6727 | 3,274 |
| 5,9939 | 276836,9997 | 3,411 |
| 5,9939 | 271491,458 | 3,4782 |
| 7,9918 | 371431,3043 | 2,5423 |
| 7,9918 | 378810,2832 | 2,4928 |
| 7,9918 | 361987,7019 | 2,6086 |
| 8,9908 | 445930,366 | 2,1176 |
| 8,9908 | 425366,3293 | 2,22 |
| 8,9908 | 440825,634 | 2,1421 |
| 9,9898 | 470969,3284 | 2,005 |
| 9,9898 | 453986,2756 | 2,08 |
| 9,9898 | 592596,0537 | 1,8788 |
| 10,9887 | 543081,3348 | 1,7388 |
| 10,9887 | 480101,757 | 1,9669 |
| 10,9887 | 529028,7698 | 1,785 |
| 11,9877 | 602909,3744 | 1,5662 |
| 11,9877 | 523645,5587 | 1,8033 |
| 11,9877 | 586988,7449 | 1,6087 |
Observe que temos impactos superiores a 2% nos níveis de concentração de 1,998 à 9,9898. Desta forma o ideal seria quantificar os resultados da rotina com uma curva de calibração, mas caso seja utilizado ponto único será necessário investigar o impacto. Alem disso, o resultado do impacto não está em conformidade com o resultado do teste do intercepto.
A seguir, analisamos o coeficiente de correlação de Pearson.
| Desvio padrão dos resíduos | Graus de liberdade | $ R^2 $ | Coeficiente de correlação |
|---|---|---|---|
| 19299,7716 | 22 | 0,9865 | 0,9932 |
Como o coeficiente de correlação, $ r = 0,9932 $, está acima do valor especificado 0,9900 pela agência reguladora, concluímos que existe uma relação linear adequada. Como dito no exemplo anterior, temos que o coeficiente de determinação representa a relação sinal/ruído.
(imagem em falta)
Observando o gráfico acima, notamos que os pontos seguem a reta ajustada. Porém observamos uma baixa diferença entre a variável resposta e a reta ajustada. Temos que a magnitude da escala da área (eixo y) é extremamente baixa em comparação a escala da concentração (eixo x).
A seguir, analisamos as suposições feitas sobre os erros experimentais, por meio do gráfico 4 em 1, dado a seguir.
(imagem em falta)
Observando o gráfico de resíduos padronizado vs valores ajustados, notamos que não há pontos com um valor alto de resíduo, logo não temos possíveis outliers. Contudo observamos a disposição destes se apresenta em forma de funil.
Observando o QQPlot notamos que alguns pontos estão distantes da reta pontilhada - em azul -, e que os pontos 28 e 20 estão fora da banda de confiança. Logo temos indícios de que a suposição de normalidade dos erros experimentais não é satisfeita.
Observando o gráfico de resíduos X valores ajustados, notamos que os pontos parecem se distribuir em forma de funil, o que dá indícios que a variância dos erros experimentais é heterocedástica.
Observando o gráfico de resíduos X ordem de coleta, notamos que os pontos apresentam uma tendência, conforme a ordem de coleta cresce, os resíduos também crescem. Logo temos indícios de que os erros experimentais são dependentes.
Para validar nossas suspeitas a partir da análise gráfica, verificaremos as hipóteses levantadas por meio de testes estatísticos.
A seguir, analisamos a normalidade dos erros experimentais, no qual as hipóteses são:
$ H_{0} $ : A distribuição dos erros experimentais é normal.
$ H_{1} $ : A distribuição dos erros experimentais não é normal.
| Teste | Estatística | P-Valor |
|---|---|---|
| Anderson-darling | 0,5552 | 0,1357 |
| Kolmogorov-Smirnov | 0,1466 | 0,2010 |
| Ryan-Joiner | 0,9652 | 0,0976 |
| Shapiro-Wilk | 0,9363 | 0,1246 |
Aqui adotamos o teste de Shapiro-Wilk para avaliar a normalidade. Como o p-valor do teste de Shapiro-Wilk, p-valor 0,1246, é maior que 0,05, não rejeitamos a hipótese de normalidade dos erros experimentais ao nível de significância de 5%.
A seguir, analisamos a homoscedasticidade por meio do teste de Breusch-Pagan. Como dito anteriomente o teste de Breusch-Pagan é o que melhor se adequa ao objetivo do teste. As hipóteses são:
$ H_{0} $ : As variâncias são iguais.
$ H_{1} $ : Pelo menos uma variância difere.
| Estatística | P-Valor |
|---|---|
| 7.5689 | 0,0059 |
Como o p-valor do teste é menor que 0,05, rejeitamos a hipótese de igualdade das variâncias ao nível de significância de 5%. Logo, temos um modelo heterocedástico. Observe que o resultado do teste de Breusch-Pagan está em conformidade com a análise gráfica.
A RDC 166 define como critério que o modelo seja homocedástico. O exemplo não passa por este critério, visto que temos um modelo heterocedástico, assim devemos buscar maneiras de lidar com este critério. Logo iremos aplicar o método de mínimos quadrados ponderados
O método de mínimos quadrados ponderados tem como ideia, transformar as observações, para que possamos aplicar o modelo de regressão. Devemos buscar uma transformação que melhor se adeque aos dados, isto é, a melhor ponderação é aquela que resulta em menores valores de resíduos, em módulo.
A seguir apresentamos os fatores de ponderação que serão aplicados:
- $ w_{1} = \frac{1}{x} $
- $ w_{2} = \frac{1}{x^2} $
- $ w_{3} = \frac{1}{y} $
- $ w_{4} = \frac{1}{y^2} $
- $ w_{5} = \frac{1}{s_{i}^{2}} $
- $ w_{6} =\frac{\frac{1}{s_{i}^{2}}}{\sum_{i = 1}^{k} \frac{1}{s_{i}^{2}}} \times k $
Em que $ x_i $ representa a concentração no i-ésimo ponto, $ y_i $ representa a área no i-ésimo ponto e $ s_i $ representa a variância no i-ésimo ponto.
A seguir, apresentamos os resíduos, considerando o método de mínimos quadrados ordinários, MMQO, e o método de mínimos quadrados ponderados para cada fator de ponderação, $ w_i, i $ = 1 à 6.
| MMQO | $ w_1 $ | $ w_2 $ | $ w_3 $ | $ w_4 $ | $ w_5 $ | $ w_6 $ |
|---|---|---|---|---|---|---|
| 021,916568 | 1978,418146 | 896,8962031 | 8,861215302 | 0,019320913 | 0,784587699 | 4431,821069 |
| 5369,147768 | 2931,531139 | 1571,186093 | 13,22299396 | 0,033583429 | 1,3147949 | 7426,748781 |
| 451,9438684 | -547,1968823 | -889,87692 | -3,014014208 | -0,020591358 | -0,620386615 | -3504,315037 |
| -2348,764198 | -1574,783806 | -899,7617689 | -6,988747808 | -0,017289498 | -0,728224927 | -4113,450386 |
| -229,688598 | -514,7025747 | -369,4492986 | -2,004704865 | -0,005557035 | -0,22414483 | -1266,104197 |
| -8335,440098 | -4569,657022 | -2397,966404 | -21,39192179 | -0,051965026 | -2,152319551 | -12157,58945 |
| 7745,436178 | 3011,337557 | 1248,30505 | 14,58119628 | 0,029196592 | 0,964589247 | 5448,577581 |
| -3840,236822 | -1720,899804 | -684,6055754 | -7,136406717 | -0,011431687 | -0,373999535 | -2112,573292 |
| -9185,778522 | -3904,318252 | -1576,435886 | -17,46552385 | -0,03134631 | -0,991614252 | -5601,23099 |
| -5949,440289 | -2085,678417 | -654,3377868 | -8,448680105 | -0,010249839 | -0,477977394 | -2699,90249 |
| 1429,538611 | 524,5226631 | 268,9809774 | 3,623079017 | 0,009429173 | 0,397099261 | 2243,054372 |
| -15393,04269 | -5426,208526 | -1835,99929 | -24,25424084 | -0,036605425 | -1,597898741 | -9025,88877 |
| 20195,44725 | 6824,103277 | 2381,015869 | 31,97659334 | 0,051737262 | 2,126723572 | 12013,00803 |
| -368,5894507 | -34,0818136 | 93,78484366 | 1,210207154 | 0,005894165 | 0,206231567 | 1164,919365 |
| 15090,71525 | 5121,655582 | 1813,243034 | 24,47274091 | 0,040756441 | 1,649988526 | 9320,123061 |
| -3119,764513 | -835,345526 | -141,7733719 | -2,337800231 | 0,001039227 | 0,004661142 | 26,3289223 |
| -20102,81731 | -6208,599432 | -1841,812692 | -27,5865725 | -0,036330633 | -0,683754478 | -3862,254662 |
| 28506,96079 | 9171,007704 | 3024,128378 | 42,34823039 | 0,06390056 | 1,286664558 | 7267,851767 |
| 20642,90798 | 6436,209706 | 2078,318846 | 30,55304825 | 0,04600689 | 0,74215206 | 4192,119173 |
| -42336,66982 | -12562,60847 | -3652,984929 | -58,39827259 | -0,079137587 | -1,162860295 | -6568,531168 |
| 6590,342983 | 2197,023979 | 799,4992407 | 11,63578521 | 0,020666018 | 0,317088716 | 1791,106914 |
| 32116,77342 | 9537,667475 | 2903,273722 | 44,23486888 | 0,061688854 | 0,874494623 | 4939,6692 |
| -47147,04228 | -13355,56098 | -3708,82165 | -62,07100182 | -0,080342565 | -1,015905069 | -5738,440063 |
| 16196,14392 | 4939,420406 | 1575,193315 | 24,050746 | 0,036239466 | 0,494796108 | 2794,904659 |
A seguir, apresentamos o gráfico dos resíduos do método de mínimos quadrados ordinários e os gráficos para cada fator de ponderação do método de mínimos quadrados ordinários.
(imagem em falta)
(imagem em falta)
Observando a tabela e os gráficos dados acima, temos que o peso $ w_4 $ apresenta os menores valores de resíduos. Logo aplicaremos o método de mínimos quadrados ponderados considerando este fator de ponderação.
A seguir, apresentamos as estimativas para os parâmetros do modelo:
| Estimativa | Desvio Padrão | Estat.t | P-Valor | Limite inferior | Limite superior | |
|---|---|---|---|---|---|---|
| Intercepto | -5717,9259 | 2964,786 | -1,9286 | 0,0668 | -11866,5157 | 430,6638 |
| Concentração | 47668,4028 | 673,6381 | 70,7626 | 0 | 46271,3629 | 49065,4427 |
Portanto, o modelo ajustado é:
Área = -5717,9259 + 47668,4028 * Concentração
A seguir, avaliamos a significância dos parâmetros por meio do teste T. Em relação ao parâmetro intercepto, temos que as hipóteses são:
$ H_{0} $ : Intercepto é igual a zero.
$ H_{1} $ : Intercepto é diferente de zero.
O quantil da distribuição T para a obtenção da região crítica é dado por $ t_{(0,95, 22)} = \ 1,717144 $. Como o p-valor associado ao teste, $ \text{P-valor} = 2 P( t_{(0,95, 22)} > | \text{t} | ) = 0,0668 $, é maior que 0,05, não rejeitamos $ H_0 $ e concluímos que o intercepto é igual a zero ao nível de significância de 5%.
Em relação ao coeficiente angular, temos que as hipóteses são:
$ H_{0} $ : Coeficiente angular é igual a zero.
$ H_{1} $ : Coeficiente angular é diferente de zero.
O quantil da distribuição T para a obtenção da região crítica é dado por $ t_{(0,95, 22)} = \ 1,717144 $. Como o p-valor associado ao teste, $ \text{P-valor} = 2 P( t_{(0,95, 22)} > | \text{t} | ) = \ 0 \ $, é menor que 0,05, rejeitamos $ H_0 $ e concluímos que o coeficiente angular é diferente de zero ao nível de significância de 5%.
Avaliamos também a significância dos parâmetros por meio do teste F da ANOVA.
Tabela ANOVA
| Fatores | Graus de liberdade | Soma dos quadrados | Quadrado médio | Estat. F | P-Valor |
|---|---|---|---|---|---|
| Concentração | 1 | 8,7884 | 8,7884 | 5007,3499 | 0 |
| Resíduos | 22 | 0,0386 | 0,0018 | ||
| Total | 23 | 8,8270 |
Para testarmos o coeficiente angular do modelo utilizamos o teste F da ANOVA, neste caso testamos as hipóteses:
$ H_{0} $ : Coeficiente angular é igual a zero.
$ H_{1} $ : Coeficiente angular é diferente de zero.
A região crítica para o teste F é dada por $ F_{(0,95, 1, 22)} = 4,30095 $. Como a estatística observada $ \ | \text{F} | > \ \text{4,30095} $ é maior que o quantil da distribuição para a determinação da região crítica, isto é, a estatística observada pertence a região crítica, e o p-valor associado ao teste $ \text{P-valor} = 2 P( F_{(0,95, 1, 22)} > | \text{F} | ) = 0 $, rejeitamos a hipótese nula ao nível de significância de 5%.
A tabela a seguir, apresenta a análise exploratória dos resíduos.
| Mínimo | 1Q | Mediana | Média | 3Q | Máximo |
|---|---|---|---|---|---|
| -0,0803 | -0,0287 | 0,0035 | 0,0016 | 0,0356 | 0,0639 |
Observando a tabela acima, notamos que os valores de mínimo e máximo, em módulo, apresentam uma proximidade, assim como os valores da mediana e da média, o que dá indícios de que a distribuição dos resíduos é simétrica.
Além do teste de hipótese para o coeficiente linear, avaliamos também o impacto deste na resposta analítica. O impacto é dado na tabela a seguir.
| Concentração | Área | Impacto do coeficiente linear (%) |
|---|---|---|
| 1,998 | 91287,2967 | 6,2637 |
| 1,998 | 92634,5279 | 6,1726 |
| 1,998 | 87717,324 | 6,5186 |
| 3,9959 | 181620,124 | 3,1483 |
| 3,9959 | 183739,1996 | 3,112 |
| 3,9959 | 175633,4481 | 3,2556 |
| 5,9939 | 288422,6727 | 1,9825 |
| 5,9939 | 276836,9997 | 2,0654 |
| 5,9939 | 271491,458 | 2,1061 |
| 7,9918 | 371431,3043 | 1,5394 |
| 7,9918 | 378810,2832 | 1,5094 |
| 7,9918 | 361987,7019 | 1,5796 |
| 8,9908 | 445930,366 | 1,2822 |
| 8,9908 | 425366,3293 | 1,3442 |
| 8,9908 | 440825,634 | 1,2971 |
| 9,9898 | 470969,3284 | 1,2141 |
| 9,9898 | 453986,2756 | 1,2595 |
| 9,9898 | 592596,0537 | 1,1377 |
| 10,9887 | 543081,3348 | 1,0529 |
| 10,9887 | 480101,757 | 1,191 |
| 10,9887 | 529028,7698 | 1,0808 |
| 11,9877 | 602909,3744 | 0,9484 |
| 11,9877 | 523645,5587 | 1,0919 |
| 11,9877 | 586988,7449 | 0,9741 |
Em comparação ao impacto do modelo do método de mínimos quadrados ordinários, temos que os níveis 1,998, 3,9959 e 5,9939 mantiveram um impacto supeiror ao máximo aceitável, 2%. Contudo, como dito anteriomente, o ideal seria quantificar os resultados da rotina em uma curva de calibração, mas caso seja utilizado ponto único será necessário investigar o impacto. Note que temos três níveis que não estão em conformidade com o resultado do teste do intercepto.
A seguir, analisamos o coeficiente de correlação de Pearson.
| Desvio padrão dos resíduos | Graus de liberdade | $ R^2 $ | Coeficiente de correlação |
|---|---|---|---|
| 0,419 | 22 | 0,9956 | 0,9978 |
Como o coeficiente de correlação, $ r = 0,9978 $, está acima do valor especificado pela agência reguladora, concluímos que existe uma relação linear adequada.
(imagem em falta)
Observando o gráfico acima, notamos que os pontos seguem a reta ajustada. Porém observamos uma diferença entre a variável resposta e a reta ajustada. Vale ressaltar que a magnitude da escala da área (eixo y) é extremamente baixa em comparação a escala da concentração (eixo x).
A seguir, analisamos as suposições feitas sobre os erros experimentais, por meio do gráfico 4 em 1, dado a seguir.
(imagem em falta)
Observando o gráfico de resíduos padronizado vs valores ajustados, notamos que não há pontos com um valor alto de resíduo, logo não temos possíveis outliers. Contudo observamos a disposição destes se apresenta em forma de funil.
Observando o QQPlot notamos que os pontos se aproximam da reta pontilhada - em azul -, e que estes estão contidos na banda de confiança. Logo temos indícios de que a suposição de normalidade dos erros experimentais é satisfeita.
Observando o gráfico de resíduos X valores ajustados, notamos que os pontos parecem se distribuir aleatoriamente, o que dá indícios que a variância dos erros experimentais é homocedástica.
Observando o gráfico de resíduos X ordem de coleta, notamos que os pontos não apresentam uma tendência, isto é, eles parecem se distribuir aleatoriamente. Logo temos indícios de que os erros experimentais são independentes.
Para validar nossas suspeitas a partir da análise gráfica, verificaremos as hipóteses levantadas por meio de testes estatísticos.
A seguir, analisamos a normalidade dos erros experimentais, no qual as hipóteses são:
$ H_{0} $ : A distribuição dos erros experimentais é normal.
$ H_{1} $ : A distribuição dos erros experimentais não é normal.
| Teste | Estatística | P-Valor |
|---|---|---|
| Anderson-darling | 0,2098 | 0,8429 |
| Kolmogorov-Smirnov | 0,0840 | 0,9321 |
| Ryan-Joiner | 0,9876 | 0,7059 |
| Shapiro-Wilk | 0,9650 | 0,5476 |
Aqui adotamos o teste de Shapiro-Wilk para avaliar a normalidade. Como o p-valor do teste de Shapiro-Wilk, p-valor 0,5476, é maior que 0,05, não rejeitamos a hipótese de normalidade dos erros experimentais ao nível de significância de 5%.
A seguir, analisamos a homoscedasticidade por meio do teste de Breusch-Pagan. As hipóteses são:
$ H_{0} $ : As variâncias são iguais.
$ H_{1} $ : Pelo menos uma variância difere.
| Estatística | P-Valor |
|---|---|
| 3,6845 | 0,0549 |
Como o p-valor do teste é maior que 0,05, não rejeitamos a hipótese de igualdade das variâncias ao nível de significância de 5%. Logo temos um modelo homocedástico.
A seguir, analismos os valores extremos. Para isto, avaliamos os resíduos padronizados e os resíduos studentizados.
| Número obs. | Concentração | Pesos | Resíduos | Resíduos Studentizados | Resíduos Padronizados |
|---|---|---|---|---|---|
| 1 | 1,998 | 1,1999E-10 | 0,0193 | 0,5366 | 0,5455 |
| 2 | 1,998 | 1,16534E-10 | 0,9403 | 0,9403 | 0,9428 |
| 3 | 1,998 | 1,29966E-10 | -0,0206 | -0,5823 | -0,5913 |
| 4 | 3,9959 | 3,0316E-11 | -0,0173 | -0,4165 | -0,4245 |
| 5 | 3,9959 | 2,96208E-11 | -0,0056 | -0,1333 | -0,1364 |
| 6 | 3,9959 | 3,24179E-11 | -0,052 | -1,2982 | -1,2785 |
| 7 | 5,9939 | 1,2021E-11 | 0,0292 | 0,703 | 0,7112 |
| 8 | 5,9939 | 1,30482E-11 | -0,0114 | -0,273 | -0,279 |
| 9 | 5,9939 | 1,35671E-11 | -0,0313 | -0,7582 | -0,7656 |
| 10 | 7,9918 | 7,24841E-12 | -0,0102 | -0,2456 | -0,251 |
| 11 | 7,9918 | 6,96878E-12 | 0,0094 | 0,2256 | 0,2307 |
| 12 | 7,9918 | 7,63154E-12 | -0,0366 | -0,8935 | -0,8976 |
| 13 | 8,9908 | 5,02882E-12 | 0,0517 | 1,2838 | 1,2653 |
| 14 | 8,9908 | 5,5268E-12 | 0,0059 | 0,1413 | 0,1445 |
| 15 | 8,9908 | 5,14596E-12 | 0,0408 | 0,9972 | 0,9973 |
| 16 | 9,9898 | 4,50832E-12 | 0,001 | 0,0249 | 0,0255 |
| 17 | 9,9898 | 4,85193E-12 | -0,0363 | -0,8905 | -0,8948 |
| 18 | 9,9898 | 3,95878E-12 | 0,0639 | 1,6214 | 1,5645 |
| 19 | 10,9887 | 3,39055E-12 | 0,046 | 1,1369 | 1,1294 |
| 20 | 10,9887 | 4,33844E-12 | -0,0791 | -2,1059 | -1,9586 |
| 21 | 10,9887 | 3,57307E-12 | 0,0207 | 0,4994 | 0,5081 |
| 22 | 11,9877 | 2,75103E-12 | 0,0617 | 1,5642 | 1,5152 |
| 23 | 11,9877 | 3,64691E-12 | -0,0803 | -2,1504 | -1,9925 |
| 24 | 11,9877 | 2,90229E-12 | 0,0362 | 0,8872 | 0,8915 |
Como critério para a análise serão considerados valores extremos na resposta as observações com resíduos studentizados e/ou padronizados mariores que 3, em módulo.
(imagem em falta)
(imagem em falta)
Observando a tabela acima e os gráficos de resíduos padronizado vs valores ajustados e resíduos studentizado vs valores ajustados, notamos que não existem resíduos studentizados e padronizados com valores maiores que três, em módulo, logo não temos outliers.
A seguir, analisamos os pontos influentes por meio das medidas DFFITS, DFBETA e a distância de Cook. Os critérios para análise dos pontos influentes são dados por:
| Diagnóstico | Fórmula | Valor |
|---|---|---|
| DFFITS | $ 2 \sqrt{(p+1)/n} $ | 0,58 |
| DCOOK | $ 4/n $ | 0,1667 |
| DFBETA | $ 2/\sqrt{n} $ | 0,4082 |
(imagem em falta)
(imagem em falta)
(imagem em falta)
| Observações | DFFITS | Critério |
|---|---|---|
| 2 | 0,58 | $ \pm $ 0,58 |
| 23 | -0,61 | $ \pm $ 0,58 |
Pelo critério da medida DFFITS temos que as observações 2 e 23 são pontos influentes.
| Observações | DCOOK | Critério |
|---|---|---|
| 2 | 0,1703 | 0,1667 |
Pelo critério da medida DCOOK temos que a observação 2 é um ponto influente.
| Observações | DFBETA | Critério |
|---|---|---|
| 20 | -0,5443 | 0,4082 |
| 23 | 1,033 | 0,4082 |
Pelo critério da medida DFBETA temos que as observações 20 e 23 são pontos influetes. Logo a partir dos critérios estabelecidos pelas medidas e pela observação dos gráficos das medidas, temos que as observações 2, 20 e 23 são pontos influentes.
A seguir, analisamos a independência das observações.
(imagem em falta)
Obervando o gráfico acima, notamos que não existe nenhuma tendência aparente dos pontos, isto é, não temos sequências de pontos decrescentes ou crescentes. Logo temos indícios de que não há dependência das observações. Para validar esta suspeita iremos aplicar o teste de Durbin-Watson. as hipóteses do teste são:
$ H_{0} $ : As observações são independentes.
$ H_{1} $ : As observações não são independentes.
| Estatística | P-Valor |
|---|---|
| 11,7043 | 0,0006 |
Aplicando o teste, obtemos um p-valor de 0,0006. Como o p-valor é menor que 0,05 rejeitamos a hipótese de indenpendência das observações a um nível de significância de 5%. A rejeição da hipótese de independência ocorre, pois, as soluções foram diluídas de uma mesma solução mãe.
Por fim, avaliamos o ajuste do modelo, para isto testamos a falta de ajuste. No qual as hipóteses são:
$ H_{0} $ : O modelo está bem ajustado.
$ H_{1} $ : O modelo não está bem ajustado.
| Graus de liberdade | Soma dos Quadrados | Quadrado Médio | Estat. F | P-Valor | |
|---|---|---|---|---|---|
| Concentração | 1 | 8,7884 | 8,7884 | 4351,9734 | 0 |
| Resíduos | 22 | 0,0386 | 0,0018 | ||
| Falta de ajuste | 6 | 0,0063 | 0,0011 | 0,5201 | 0,7848 |
| Erro puro | 16 | 0,0323 | 0,002 |
A partir da tabela acima, temos que o p-valor para a falta de ajuste foi de 0,7848, valor maior que 0,05. Logo não rejeitamos $ H_0 $ e portanto o modelo é adequado e a linearidade do modelo está validada ao nível de 5% de significância.
Logo, os critérios da RDC que foram satisfeitos são:
- Coeficiente angular significativo ao nível de significância de 5%;
- Coeficiente linear não significativo ao nível de significância de 5%;
- Coeficiente de correlação superior a 0,9900;
- Homoscedasticiade do modelo;
- Normalidade dos erros experimentais.
Contudo temos observações dependentes, desta forma devemos analisar a causa da dependência das observações. Note que as concentrações são provenientes de uma mesma solução mãe, isto é, as soluções são diluídas de uma única solução mãe, assim devemos analisar se isto influenciou a dependência das observações.
1.1.3 - Precisão
Nesta seção, vamos avaliar a precisão. A precisão deve ser expressa por meio da repetitividade, da precisão intermediária e da reprodutibilidade. Além disso, nos ensaios quantitativos, a precisão deve ser demonstrada por meio da dispersão dos resultados, calculando o desvio padrão relativo (DPR) da série de medições, também conhecido como coeficiente de variação, conforme a fórmula “DPR=(DP/CMD)x100”, em que DP é o desvio padrão e CMD, a concentração média determinada. A seguir , apresentamos o trecho da RDC 166.
A determinação da repetitividade deve obedecer aos seguintes critérios:
I - avaliar as amostras sob as mesmas condições de operação, mesmo analista e mesma instrumentação, em uma única corrida analítica.
II - utilizar, no mínimo, 9 (nove) determinações, contemplando o intervalo linear do método analítico, ou seja, 3 (três) concentrações: baixa, média e alta, com 3 (três) réplicas em cada nível ou 6 (seis) réplicas a 100% (cem por cento) da concentração do teste individualmente preparadas.
A reprodutibilidade deve ser obtida por meio da proximidade dos resultados obtidos em laboratórios diferentes.
§1° A reprodutibilidade é aplicável em estudos colaborativos ou na padronização de métodos analíticos para inclusão desses em compêndios oficiais, mediante testes estatísticos adequados.
A determinação da precisão intermediária deve obedecer aos seguintes critérios:
I - expressar a proximidade entre os resultados obtidos da análise de uma mesma amostra, no mesmo laboratório, em pelo menos dois dias diferentes, realizada por operadores distintos; e
II - contemplar as mesmas concentrações e o mesmo número de determinações descritas na avaliação da repetibilidade.

Repetibilidade Tabela 1: Critério para avaliação da repetibilidade. Fonte: AOAC, 2016 [7]

Reprodutibilidade Tabela 2: Critério para avaliação da reprodutibilidade. Fonte: AOAC, 2016 [7]
Uma forma adequada de realizar o estudo de precisão intermediária, é considerar uma única amostra matriz e uma gama de concentrações de analito. Mais especificamente, dentre as concentrações, é aconselhável que tenhamos pelo menos três níveis de concentração (baixo, médio e alto), abrangendo o intervalo de trabalho, com um número de n réplicas para cada concentração. Segundo Gustavo González [2] o documento ICH Q2B recomenda três réplicas e o documento da FDA em validação bioanalítica considera cinco réplicas, de modo que 3-5 repetições são aconselháveis.
Os critérios de aceitação devem ser definidos e justificados de acordo com os seguintes aspectos:
- Objetivo do método;
- variabilidade intrínseca do método;
- concentração de trabalho;
- concentração do analito na amostra.
Exemplo 1.4.1
A seguir, apresentamos os dados coletados para repetibilidade.

A seguir, avaliamos a repetibilidade através do software Action Stat e obtemos os seguintes resultados:
- Primeiramente apresentamos a função de Repetibilidade no Action Stat. Para acessá-la vamos no menu Action Stat ->Validação Analítica -> Precisão -> Repetibilidade
(imagem em falta)
- O próximo passo é preencher a janela do resumo descritivo
(imagem em falta)
A seguir apresentamos a saída obtida pelo Action Stat.
(imagem em falta)
Para os níveis teóricos de 80%, 100% e 120% temos coeficientes de variação de 2,264%, 0,7638% e 4,7% respectivamente.
Precisão Intermediaria
A forma adequada de realizar o estudo de precisão intermediária, é expressar a proximidade entre os resultados obtidos da análise de uma mesma amostra, no mesmo laboratório, em pelo menos dois dias diferentes, realizada por operadores distintos contemplando as mesmas concentrações e o mesmo número de determinações descritas na avaliação da repetibilidade.
Desta forma, temos três possíveis cenários para a Análise de Precisão Intermediaria:
- Com dois fatores e interação: Dia, Analista e Interação entre Dia e Analista:
- Com dois fatores sem interação: Dia e Analista
- Com um fator: Dia e Analista.
Em todos os casos utilizamos o método de Analise de Variância (ANOVA) com a variação dos fatores conforme cada caso.
Análise de variância (ANOVA) Método Cruzado
O experimento cruzado de dois fatores com interação é o modelo que utilizaremos a primeira situação. Tipicamente, os dois fatores são referidos como “Dia” e “Analista”. Aqui consideramos a tabela da ANOVA, em que modelamos o experimento com dados balanceados e ambos fatores são aleatórios.
O modelo com dois fatores balanceados e com efeitos cruzados com interação é dado por:

Para este modelo $ \mu $ é um parâmetro comum a todos os tratamentos e representa a média geral dos dados, $ \alpha_{i} $ e $ \gamma_j $ é o efeito devido ao i-ésimo e ao j-ésimo nível do fator D (dia) e A (analista) e são variáveis aleatórias independentes com média zero e variâncias $ \sigma^2_D $ e $ \sigma^2_A $ respectivamente e $ \tau_{ij} $ é a interação entre os fatores D e A, que também tem distribuição normal com média zero e variância $ \sigma^2_I. $ A variável aleatória $ \varepsilon_{ijk} $ corresponde ao erro aleatório experimental, isto é, a variabilidade não explicada pelo modelo devido a variações presentes em diversas fontes não consideradas no estudo. Este tem distribuição normal com média zero e variância $ \sigma^2. $ Resumindo,
- $ \mu $ é a média geral dos dados;
- $ \alpha_{i} $ é o efeito do nível i do fator dia;
- $ \gamma_{j} $ é efeito do nível j do fator analista;
- $ \tau_{ij} $ é efeito do nível ij da interação entre dia e analista;
- $ \varepsilon_{ijk} $ é a componente aleatória do erro.
Agora, vamos desenvolver a análise de variância para o modelo de efeitos aleatórios. A partir de considerações dos dados, temos:
$ Y_{i..}=\displaystyle \sum_{j=1}^{o}\sum^r_{k=1} Y_{ijk} $: soma das observações do nível i do fator dia;
$ \overline{Y_{i..}}=\displaystyle\frac{Y_{i..}}{pr} $: média das observações do nível i do fator dia;
$ Y_{.j.}=\displaystyle \sum_{i=1}^{p}\sum^r_{k=1} Y_{ijk} $: soma das observações do nível j do fator analista;
$ \overline{Y_{.j.}}=\displaystyle\frac{Y_{.j.}}{or} $: média das observações do nível j do fator analista;
$ Y_{ij.}=\displaystyle \sum^r_{k=1} Y_{ijk} $: soma das observações dos níveis i e j dos fatores dia e analista;
$ \overline{Y_{ij.}}=\displaystyle\frac{Y_{.j.}}{or} $: média das observações dos níveis i e j dos fatores dia e analista;
$ Y_{…}=\displaystyle\sum^p_{i=1} \sum^{o}_{j=1}\sum^r_{k=1} Y_{ijk} $: soma de todas as observações;
$ \overline{Y_{…}}=\displaystyle\frac{Y_{…}}{por} $: média geral das observações.
Além disso, assumimos que o erro tem distribuição Normal com média zero e variância $ \sigma^{2}_{\varepsilon} $ e que os erros são mutuamente independentes. Com isso, temos que
$$\varepsilon_{ij}\sim~N(0,\sigma^{2}_{\varepsilon}).$$
Agora, para o efeito $ \alpha_i $, assumimos que tem distribuição Normal com média zero e variância $ \sigma^2_{D}. $ Assumimos também que os efeitos são mutuamente independentes. Assim,
$$\alpha_{i}\sim~N(0,\sigma^{2}_{D}).$$
Para o efeito $ \gamma_j $, assumimos que tem distribuição Normal com média zero e variância $ \sigma^2_{A}. $ Assumimos também que os efeitos são mutuamente independentes. Assim,
$$\gamma_{j}\sim~N(0,\sigma^{2}_{A}).$$
Por fim temos que para o efeito $ \tau_{ij} $, assumimos que tem distribuição Normal com média zero e variância $ \sigma^2_{I}. $ Assumimos também que os efeitos são mutuamente independentes. Assim,
$$\tau_{ij}\sim~N(0,\sigma^{2}_{I}).$$
A análise de variância para o modelo (1.4.1) é obtida pela decomposição da variação total $ Y_{ijk}-\overline{Y_{…}} $ como segue
$$SQT=\sum_{i=1}^{p}\sum_{j=1}^{o}\sum_{k=1}^{r}(Y_{ijk}-\overline{Y_{…}})^2=o~r\sum_{i=1}^{p}(\overline{Y_{i..}}-\overline{Y_{…}})^2 +p~r\sum_{j=1}^{o}(\overline{Y_{.j.}}-\overline{Y_{…}})^2 +r~ \sum_{i=1}^{p}\sum_{j=1}^{o}(\overline{Y_{ij.}}-\overline{y_{i..}}-\overline{Y_{.j.}}+ \overline{Y_{…}})^2+\sum_{i=1}^{p}\sum_{j=1}^{o}\sum_{k=1}^{r}(Y_{ijk}-\overline{Y_{ij.}})^2$$
$$=SQD+SQA+SQI+SQE$$
em que
$$SQT=\sum_{i=1}^{p}\sum_{j=1}^{o}\sum_{k=1}^{r}(Y_{ijk}-\overline{Y_{…}})^2$$
$$SQD=o~r\sum_{i=1}^{p}(\overline{Y_{i..}}-\overline{Y_{…}})^2$$
$$SQA=p~r\sum_{j=1}^{o}(\overline{Y_{.j.}}-\overline{Y_{…}})^2$$
$$SQI=r~\sum_{i=1}^{p}\sum_{j=1}^{o}(\overline{Y_{ij.}}-\overline{Y_{i..}}-\overline{Y_{.j.}}+\overline{Y_{…}})^2$$
$$SQE=\sum_{i=1}^{p}\sum_{j=1}^{o}\sum_{k=1}^{r}(Y_{ijk}-\overline{Y_{ij.}})^2$$
Assim, obtemos a tabela da ANOVA da seguinte forma
| Fator | Graus de Liberdade | Soma de Quadrados | Quadrados Médios | F | P-Valor |
|---|---|---|---|---|---|
| Fator D | $ p -1 $ | $ SQD $ | $ QMD $ | $ F_{D}=\frac{QMD}{QMI} $ | $ P(F> F_D) $ |
| Fator A | $ o -1 $ | $ SQA $ | $ QMA $ | $ F_{A}=\frac{QMA}{QMI} $ | $ P(F> F_A) $ |
| Interação ($ D\times A $) | $ (p -1)(o -1) $ | $ SQI $ | $ QMI $ | $ F_{I}=\frac{QMI}{QME} $ | $ P(F> F_{I}) $ |
| Erro | $ p~o~(r -1) $ | $ SQE $ | $ QME $ | ||
| Total | $ p~o~r - 1 $ | $ SQT $ |
A seguir, apresentamos os testes de hipóteses:
- Teste do efeito do fator Dia:
$$\sigma^{2}_{D}> 0$$
(há elementos em falta na equação acima)
e a estatística de teste é dada por $ F_D=\frac{QMD}{QMI} $
se $ \mathbb{P} \left[F_{(o-1,(o-1)*(p-1))}> F_D|H_0 \right] > 0,05 $ rejeitamos a hipótese de que o efeito do fator Dia é significativo;
se $ \mathbb{P} \left[F_{(o-1,(o-1)*(p-1))}> F_D|H_0 \right] \leq 0,05 $ não rejeitamos a hipótese de que o efeito do fator Dia é significativo.
- Teste do efeito do fator Analista:
$$\sigma^{2}_{A}> 0$$
(há elementos em falta na equação acima)
e a estatística de teste é dada por $ F_A=\frac{QMA}{QMI} $
se $ \mathbb{P} \left[F_{(o-1,(o-1)*(p-1))}> F_A|H_0\right]> 0,05 $ rejeitamos a hipótese de que o efeito do fator Analista é significativo;
se $ \mathbb{P} \left[F_{(o-1,(o-1)*(p-1))}> F_A|H_0\right]\leq 0,05 $ não rejeitamos a hipótese de que o efeito do fator Analista é significativo.
- Teste do efeito da interação entre Dia e Analista:
$$\sigma^{2}_{I}> 0$$
(há elementos em falta na equação acima)
e a estatística de teste é dada por $ F_I=\frac{QMI}{QME} $
se $ \mathbb{P} \left[F_{((o-1)*(p-1),po(r-1))}> F_I|H_0\right]> 0,05 $ rejeitamos a hipótese de que o efeito da interação entre Dia e Analista é significativo;
se $ \mathbb{P} \left[F_{((o-1)*(p-1),po(r-1))}> F_I|H_0\right]\leq 0,05 $ não rejeitamos a hipótese de que o efeito da interação entre Dia e Analista é significativo.
Análise de variância (ANOVA) Sem Interação
No caso em que rejeitamos a significância da interação entre os fatores Dia e Analista, fazemos o estudo da precisão intermediária desconsiderando a interação. De forma idêntica ao método cruzado com algumas pequenas alterçãoes.
Nesse caso somente não temos a interação no modelo:

A tabela ANOVA e a estatística do deste sofre uma alteração:
| Fator | Graus de Liberdade | Soma de Quadrados | Quadrados Médios | F | P-Valor |
|---|---|---|---|---|---|
| Fator D | $ p -1 $ | $ SQD $ | $ QMD $ | $ F_{D}=\frac{QMD}{QME} $ | $ P(F> F_D) $ |
| Fator A | $ o -1 $ | $ SQA $ | $ QMA $ | $ F_{A}=\frac{QMA}{QME} $ | $ P(F> F_A) $ |
| Erro | $ por - p -o +1 $ | $ SQE $ | $ QME $ | ||
| Total | $ p~o~r - 1 $ | $ SQT $ |
Então, os testes de hipóteses ficam:
- Teste do efeito do fator Dia:
$$\sigma^{2}_{D}> 0$$
(há elementos em falta na equação acima)
e a estatística de teste é dada por $ F_D=\frac{QMD}{QME} $
se $ \mathbb{P} \left[F_{(p-1,por-p-o+1)}> F_D|H_0 \right]> 0,05 $ rejeitamos a hipótese de que o efeito do fator Dia é significativo;
se $ \mathbb{P} \left[F_{(p-1,por-p-o+1)}> F_D|H_0 \right] \leq 0,05 $ não rejeitamos a hipótese de que o efeito do fator Dia é significativo.
Teste do efeito do fator Analista:
$$\sigma^{2}_{A}> 0$$
(há elementos em falta na equação acima)
e a estatística de teste é dada por $ F_A=\frac{QMA}{QME} $
se $ \mathbb{P} \left[F_{(o-1,por-p-o+1)}> F_A|H_0\right]> 0,05 $ rejeitamos a hipótese de que o efeito do fator Analista é significativo;
se $ \mathbb{P} \left[F_{(o-1,por-p-o+1)}> F_A|H_0\right] \leq 0,05 $ não rejeitamos a hipótese de que efeito do fator Dia é significativo.
Análise de Variância (ANOVA) com Dia e Analista confundidos
No caso em que temos Dia e Analista confundidos, Situação 1 = (Dia 1, Analista 1) e situação 2 = (Dia 2, Analista 2), fazemos o estudo de precisão intermediária com um único fator, de forma idêntica ao caso sem interação do modelo ANOVA um fator.
Nesse caso temos o modelo:

A tabela ANOVA e a estatística do deste sofre uma alteração:
| Fator | Graus de Liberdade | Soma de Quadrados | Quadrados Médios | F | P-Valor |
|---|---|---|---|---|---|
| Fator S | $ p -1 $ | $ SQS $ | $ QMS $ | $ F_{S}=\frac{QMS}{QME} $ | $ P(F> F_S) $ |
| Erro | $ pr - p $ | $ SQE $ | $ QME $ | ||
| Total | $ pr - 1 $ | $ SQT $ |
Então, os testes de hipóteses ficam:
- Teste do efeito do fator Situação:
$$\sigma^{2}_{S}> 0$$
(há elementos em falta na equação acima)
e a estatística de teste é dada por $ F_{S}=\frac{QMS}{QME} $
se $ \mathbb{P} \left[F_{(p-1,pr-p)}> F_S|H_0 \right]> 0,05 $ rejeitamos a hipótese de que o efeito do fator Situação é significativo;
se $ \mathbb{P} \left[F_{(p-1,pr-p)}> F_S|H_0 \right] \leq 0,05 $ não rejeitamos a hipótese de que o efeito do fator Situação é significativo.
Exemplo 1.4.2
Agora, avaliamos a precisão intermediária e a reprodutibilidade, para isto, observe os resultados obtidos pelo Action Stat.

- Para isso, acessamo o menu Action Stat -> Validação Análitica -> Precisão -> Intermediária
(imagem em falta)
- A segui preenchemos selecionamos os dados e clicamos no botão Ler. Selecionamos as variáveis e para realizar o intervalo de confiança. Clicamos em Ok e obtemos os resultados.
(imagem em falta)
- Por fim, obtemos os seguintes resultados:
(imagem em falta)
Observamos que interação entre dia e analista é significativa ao nível de significância de 5%. Porém não encontramos diferenças significativas entre os Dias (p-valor de 0,38), nem mesmo entre os Analistas (p-valor de 0,93).
Exemplo 1.4.3
Agora, avaliamos a precisão intermediária e a reprodutibilidade, para isto, observe os resultados obtidos pelo Action Stat.
| Situação | Concentração |
|---|---|
| A | 93,97385 |
| A | 95,14364 |
| A | 95,41374 |
| A | 95,63412 |
| A | 96,60754 |
| A | 96,89411 |
| B | 94,73515 |
| B | 94,06646 |
| B | 93,39936 |
| B | 93.87990 |
| B | 93,95359 |
| B | 95,85671 |
Temos que A = (Dia 1, Analista 1) e B = (Dia 2, Analista 2).
- Para isso, acessamo o menu Action Stat -> Validação Análitica -> Precisão -> Intermediária
(imagem em falta)
- A segui preenchemos selecionamos os dados e clicamos no botão Ler. Selecionamos as variáveis e para realizar o intervalo de confiança. Clicamos em Ok e obtemos os resultados.
(imagem em falta)
- Por fim, obtemos os seguintes resultados:
(imagem em falta)
Observando a Tabela ANOVA, temos que a Situação apresenta um p-valor menor que 0,05. Logo a Situação é significativa ao nível de significância de 5%, isto é, a situação impacta na concentração. Contudo vale ressaltar que a Situação A possui valores de concentração superiores a Situação B, o que pode impactar na análise. Por outro lado temos que o coeficiente de variação da precisão intermediária encontra-se abaixo de 2%.
(imagem em falta)
(imagem em falta)
Observando o gráfico de efeitos principais, notamos que a concentração diminui quando passamos da situação A (Dia 1, Analista 1) para a situação B (Dia 2, Analista 2). Não podemos concluir apenas utilizando o gráfico, assim é necessário é fazermos uma análise estatística para verificarmos se cada fator é significante e se a interação realmente não é significante.
1.1.4 - Exatidão
Nesta seção, vamos avaliar a exatidão para isto utilizamos a seção VI da RDC Nº166. No artigo 44 a exatidão de um método analítico está definida como grau de concordância entre os resultados individuais, obtidos pelo método em estudo, em relação a um valor de referência aceito como verdadeiro. Os critérios de preparação do ensaio está descrito na RDC Nº166 seção VI.

Tabela 1: Critério para avaliação da exatidão.Fonte: AOAC, 2016 [7]
A equação de medição da recuperação é dada por:
$$\text{Rec}=\frac{C_o}{C_t}\times100$$
em que
- Rec: é a recuperação, em ($ (porcentagem) $);
- é a concentração obtida em $ mg/mL; $
(há elementos em falta na equação acima)
- é a concentração teórica em $ mg/mL; $
(há elementos em falta na equação acima)
Consideremos uma amostra aleatória simples $ \text{Rec}_1,\text{Rec}_2,\ldots,\text{Rec}_n $, obtida de uma população com distribuição normal, com média $ \mu=100 $ e variância $ \sigma^2 $ desconhecidas. Como neste caso a variância é desconhecida, utilizaremos a variância amostral $ s^2 $ no lugar de $ \sigma^2 $. Assim, temos que
$$T=\frac{|\overline{\text{Rec}}-100|}{s/\sqrt{n}}\sim t_{(n-1)}\quad ~(1)$$
ou seja, a variável $ T $ tem distribuição t de Student com $ n-1 $ graus de liberdade.
Então, ao fixarmos o nível de significância $ \alpha $, obtemos da Tabela da distribuição t de Student com $ n-1 $ graus de liberdade, o valor $ t_{((n-1),\alpha/2)} $, que satisfaz
$$\mathbb{P}\left(-t_{((n-1),\alpha/2)}\leq T\leq t_{((n-1),\alpha/2)}\right)=1-\alpha$$
Analogamente ao caso anterior, obtemos que
$$\mathbb{P}\left(-t_{((n-1),\alpha/2)}\leq \frac{\overline{\text{Rec}}-100}{s/\sqrt{n}}\leq t_{((n-1),\alpha/2)}\right)=1-\alpha$$
ou seja,
$$\mathbb{P}\left(\overline{\text{Rec}}-t_{((n-1),\alpha/2)}\frac{s}{\sqrt{n}}\leq100\leq \overline{\text{Rec}}+t_{((n-1),\alpha/2)}\frac{s}{\sqrt{n}}\right)=1-\alpha.$$
Logo, o intervalo com $ 100(1-\alpha)(porcentagem) $ de confiança para $ \mu=100 $, com variância desconhecida, será dado por
$$IC(\mu=100,1-\alpha)=\left(\overline{\text{Rec}}-t_{\alpha/2}\frac{s}{\sqrt{n}};\overline{\text{Rec}}+t_{\alpha/2}\frac{s}{\sqrt{n}}\right).$$
Para facilitar a execução do teste, podemos seguir os passos:
- Estabelecer as hipóteses:
Fixamos $\mu=\mu_0=100 $.
(há elementos em falta na equação acima)
$\mu\neq\mu_0 \quad \text{(teste bilateral)} $;
(há elementos em falta na equação acima)
-
Fixar o nível de significância $ \alpha $.
-
Determinar a região crítica.
Como o teste é bilateral, determinamos os pontos críticos $ -t_{\alpha/2} $ e $ t_{\alpha/2} $ tais que $ \mathbb{P}[T \ > \ t_{\alpha/2}]=\mathbb{P}[T \ < -t_{\alpha/2}]=\alpha/2 $ a partir da distribuição t de Student com $ n-1 $ graus de liberdade.
- Calcular, sob a hipótese nula, o valor:
$$T_{\text{obs}}=\frac{|\overline{\text{Rec}}-100|}{\frac{s}{\sqrt{n}}}$$
em que
- $ \overline{\text{Rec}} $: valor da média da recuperação.
- $ s $: valor do desvio padrão amostral.
- $ n $: tamanho da amostra.
- Critério:
Teste bilateral: se $ T_{\text{obs}} \ > \ t_{\alpha/2} $ ou se $ T_{\text{obs}} \ < \ -t_{-\alpha/2} $, rejeitamos $ H_0 $. Caso contrário, não rejeitamos $ H_0 $.
- O p-valor no teste bilateral é dado por
$$\text{p-valor} = \mathbb{P}[|t| \ > \ |T_{\text{obs}}||H_0]=2\mathbb{P}[T \ > \ |T_{\text{obs}}| | H_0].$$
(imagem em falta)
- Como vimos anteriormente o intervalo de confiança é dado por
$$IC(\mu,1-\alpha)=\left(\overline{\text{Rec}}-t_{\alpha/2}\frac{s}{\sqrt{n}};\overline{\text{Rec}}+t_{\alpha/2}\frac{s}{\sqrt{n}}\right)$$
Segundo Gustavo González [2], a estatística do teste (equação 1) por ser escrita como:
$$T=\frac{\overline{\text{Rec}}-100}{u(\text{Rec})}$$
em que
$$u(\text{Rec})=\sqrt{\left(\frac{\partial \text{Rec}}{\partial C_o}\right)^2u^2(C_o)+\left(\frac{\partial \text{Rec}}{\partial C_t}\right)^2u^2(C_t)+u^2(\varepsilon)}$$
no qual
- Rec: é a recuperação, em (%);
- é a concentração obtida em $ mg/mL. $ A incerteza é dada pela preparação da amostra (para mais detalhes consulte cálculo de incerteza devido às soluções)
(imagem em falta)
- é a concentração teórica em $ mg/mL; $ A incerteza é dada pelo certificado da solução de referência (ISO GUIDE);
(imagem em falta)
- é o desvio padrão da média dada por $ s/\sqrt{n}. $
(imagem em falta)
Além disso, temos que:
$$\frac{\partial \text{Rec}}{\partial C_o}=\frac{1}{C_t}$$
$$\frac{\partial \text{Rec}}{\partial C_t}=-\frac{C_o}{C^2_t}$$
De acordo com o protocolo LGC/VAM descrito no artigo de Gustavo González [2], se o graus de liberdade associados a incerteza da recuperação são conhecidas, T é comparado com o bicaudal valor tabelado $ t_{(\nu,1-\alpha)} $ para o número de graus de liberdade $ \nu $ com $ (1-\alpha)(porcentagem) $ de confiança. E se$ T\leq t_{tab}, $ a recuperação de consenso não é significativamente diferente de 1. Em alternativa, ao invés do $ t_{tab}, $ podemos utilizar o fator de abrangência $ k $ para a comparação. Os valores típicos são $ k=2 $ ou 3 para 95% ou 99% de confiança, respectivamente. Assim
Se $ \frac{|\overline{\text{Rec}}-100|}{u(\text{Rec})}\leq k $, a recuperação não é significativamente diferente de 100;
Se $ \frac{|\overline{\text{Rec}}-100|}{u(\text{Rec})}> k $, a recuperação é significativamente diferente de 100 e o resultado analítico tem de ser corrigido por $ \overline{\text{Rec}}. $
Outra forma de avaliação descrita em Gustavo González [2] é avaliarmos os limites aceitáveis dadas pelos órgãos reguladores.
Exemplo 1.5.1
Nesta seção, foi calculada a incerteza expandida relativa, que corresponde a 0,29%. A seguir, apresentamos os dados coletados.

Para especificidade normal obtemos as seguintes medições:
| Concentração |
|---|
| 0,182856676 |
| 0,201313318 |
| 0,190572332 |
| 0,181481821 |
| 0,181340121 |
| 0,189112134 |
| 0,190115447 |
| 0,176140016 |
| 0,19486329 |
| 0,183852917 |
| Amostra | Massa (mg) | Vol. Pd (mL) | Concentração teórica (mg/mL) | Área (mAU*s) | Concentração obtida (mg/mL) | Recuperação (%) |
|---|---|---|---|---|---|---|
| 1 | 728,68 | 0,00 | 0,1912 | 7447,27975 | 0,18716 | 97,88 |
Para especificidade normal temos:
$$\text{Rec}=\frac{C_o}{C_t}\times100=\frac{0,18716}{0,1912}\times100=97,88(porcentagem)\pm 3,9(porcentagem)$$
A seguir, testamos a exatidão através do software Action Stat e obtemos os seguintes resultados:
- Primeiramente apresentamos a função Exatidão no Action Stat.
(imagem em falta)
- O próximo passo é preencher a janela da Exatidão
(imagem em falta)
- Por fim, obtemos os seguintes resultados:
(imagem em falta)
(imagem em falta)
(imagem em falta)
Logo, a recuperação está dentro do critério de aceitação.
1.1.5 - Limite de Detecção
Nesta seção, vamos analisar o limite de detecção (LD), segundo critérios da RDC Nº 166[1]. Nela o limite de detecção é definida como a menor quantidade do analito presente em uma amostra que pode ser detectado, porém, não necessariamente quantificado, sob as condições experimentais estabelecidas. Em outras palavras, o limite de detecção é a mais baixa concentração de analito que pode ser detectado de forma confiável e distinto de zero (ou a nível de ruído do sistema), mas não necessariamente quantificado na concentração em que um valor medido for maior que a incerteza associada a ele.
I - para o branco da amostra, conforme a equação a seguir:
$$LD=X+t_{(n-1;1-\alpha)}s$$
em que
$ \bullet $ X é a média dos valores dos brancos da amostra;5%
$ \bullet $ t é o quantil da distribuição de Student, dependente do tamanho da amostra e do nível de confiança, n é o número de amostras,
$ \bullet $ α é o nível de significância e
$ \bullet $ s é o desvio-padrão amostral dos brancos da amostra.
II - para o branco da amostra com adição da menor concentração aceitável do analito, conforme equação a seguir:
$$LD=0+t_{(n-1;1-\alpha)}s$$
em que:
$ \bullet $ t é o quantil da distribuição de Student, dependente do tamanho da amostra e do nível de confiança e, n é o número de amostras,
$ \bullet $ α é o nível de significância e
$ \bullet $ s é o desvio-padrão amostral dos brancos da amostra, com adição, com n-1 graus de liberdade.
O LD pode ser expresso em unidades de resposta ($ Y_{LD} $) e é tomada normalmente como três vezes o nível de ruído para as técnicas com contínua gravação (por exemplo a cromatografia). O critério adotado pela RDC Nº 166 [1] é 3,3. Desta forma obtemos:
$$Y_{LD}=Y_{\text{branco}}+3,3\times s_{\text{branco}}\quad (1)$$
que é equivalente ao método I, porém adotando nível de confiança de aproximadamente 99,5 %. Vale lembrar que neste método, temos que ter um mínimo de 10 brancos de amostras independentes. Alternativamente, quando amostra do branco não poder produzir qualquer resposta, isto é, voltametria (métodos eletroanalíticos). Neste caso, utilizamos 10 brancos de amostras independentes enriquecidos na concentração mais baixa aceitável da substância a analisar, e são medidos em seguida , $ Y_{LD}=3,3s, $ sendo o desvio padrão de um conjunto de medições.
No entanto, LDs expressa em unidades de sinal são terríveis de manusear. Segundo Gustavo González [2] é mais aconselhável a utilização de níveis de concentração do analito. Com isso, $ Y_{LD} $ são convertidos para $ Z_{LD} $ usando a função de calibração:
$$Z_{LD}=\frac{Y_{LD}-\widehat{\beta}_0}{\widehat{\beta}_1}$$
Logo, adotando o critério do intercepto nulo e utilizando a equação (1) sem $ Y_{\text{branco}} $, obtemos:
$$Z_{LD}=\frac{3,3 s_{\text{branco}}}{\widehat{\beta}_1}$$
Portanto, obtemos o terceito critério da RDC Nº 166 [1].
III - Para a determinação baseada em parâmetros da curva analítica, o limite de detecção pode ser calculado por:
$$LD=\frac{3,3s_{*}}{\widehat{\beta}_1}$$
Em que:
- $ \widehat{\beta}_1 $ é a inclinação da curva de calibração,
- $ s_{*} $ é o desvio padrão e pode ser obtido de 3 formas:
a) o desvio padrão do intercepto com o eixo do Y de, no mínimo, 3 curvas de calibração construídas contendo concentrações do analito próximas ao suposto limite de quantificação;
b) o desvio padrão residual da linha de regressão
c) a partir da curva de calibração proveniente da análise de um apropriado número de amostras do branco.
Exemplo 1.6.1
A seguir, apresentamos os dados coletados para o limite de detecção. Para isto, utilizamos os mesmos dados coletados da lineardade.
| Concentração | Área |
|---|---|
| 0,24 | 8597,852 |
| 0,24 | 8597,258 |
| 0,24 | 8596,783 |
| 0,24 | 8596,908 |
| 0,24 | 8597,301 |
| 0,24 | 8597,496 |
| 0,27 | 9607,39 |
| 0,27 | 9607,714 |
| 0,27 | 9607,443 |
| 0,27 | 9608,133 |
| 0,27 | 9607,176 |
| 0,27 | 9607,247 |
| 0,3 | 10617,69 |
| 0,3 | 10617,97 |
| 0,3 | 10617,99 |
| 0,3 | 10617,95 |
| 0,3 | 10617,8 |
| 0,3 | 10617,8 |
| 0,33 | 11627,84 |
| 0,33 | 11628,43 |
| 0,33 | 11628,01 |
| 0,33 | 11628,33 |
| 0,33 | 11628,34 |
| 0,33 | 11628,1 |
| 0,36 | 12637,93 |
| 0,36 | 12638,12 |
| 0,36 | 12638,54 |
| 0,36 | 12638,19 |
| 0,36 | 12638,63 |
| 0,36 | 12638,32 |
A seguir, calculamos o limite de detecção através do software Action Stat e obtemos os seguintes resultados:
- Primeiramente apresentamos a função limite de detecção no Action Stat.
(imagem em falta)
- O próximo passo é preencher a janela do limite de detecção
(imagem em falta)
A seguir, apresentamos os resultados obtidos pelo software Action Stat.
(imagem em falta)
(imagem em falta)
Com isso, vamos calcular o limite de detecção:
$$LD=\frac{3,3\sigma_{\text{resíduos}}}{\widehat{\beta}_1}=\frac{3,3\times 0,278311917}{33675,66936}=2,72\times 10^{-5}$$
1.1.6 - Limite de Quantificação
Nesta seção, vamos analisar o limite de quantificação (LQ), segundo critérios da RDC Nº166. Nela o limite de quantificação é definida como a menor quantidade do analito em uma amostra que pode ser determinada com precisão e exatidão aceitáveis sob as condições experimentais estabelecidas. Para a determinação deste parâmetro deve ser seguido o mesmo procedimento descrito na Seção VIII deste Capítulo, sendo que, a razão sinal/ruído deve ser superior a 10:1.
Gustavo González [2] define o LQ como a mais baixa concentração de analito que pode ser determinada quantitativamente com um nível aceitável de precisão. O procedimento para avaliação do LQ é equivalente ao de LDs , medindo pelo menos 10 brancos de amostras independentes e usando o fator 10 em vez de 3 para os cálculos. Com isso, temos:
$$Y_{LQ}=Y_{\text{branco}}+10s_{\text{branco}}$$
Segundo Gustavo González [2], a razão para o fator 10 vem a partir de considerações da IUPAC (União Internacional de Química Pura e Aplicada), assumindo uma precisão relativa de cerca de 10 % no sinal. Contudo, a fim de obter um LQ mais consistente, é aconselhável fazer uma estimativa a priori do desvio padrão relativo (DPR) da resposta em função da concentração de analito (Próximo do LQ desconhecido). Assim, uma série de espaços em branco são cravados em várias concentrações de analito e medido em triplicata. Por este motivo o DPR% é calculado. A partir do gráfico de DPR% versus a concentração de analito, a quantidade que corresponde a uma precisão previamente definida DPR% e é interpolado tomado como o $ Z_{LQ}. $
Para a determinação baseada em parâmetros da curva analítica, o limite de quantificação pode ser calculado por:
$$LQ=\frac{10\sigma_*}{\widehat{\beta}_1}$$
em que
$ \bullet\widehat{\beta}_1 $ é inclinação da curva de calibração.
$ \bullet\sigma_* $ o desvio padrão, que pode ser obtido de 3 formas:
a) o desvio padrão do intercepto com o eixo do Y de, no mínimo, 3 curvas de calibração construídas contendo concentrações do analito próximas ao suposto limite de quantificação;
b) o desvio padrão residual da linha de regressão
c) a partir da curva de calibração proveniente da análise de um apropriado número de amostras do branco.
Exemplo 1.7.1
A seguir, apresentamos os dados coletados para o limite de quantificação. Para isto, utilizamos os mesmos dados coletados da lineardade.
| Concentração | Área |
|---|---|
| 0,24 | 8597,852 |
| 0,24 | 8597,258 |
| 0,24 | 8596,783 |
| 0,24 | 8596,908 |
| 0,24 | 8597,301 |
| 0,24 | 8597,496 |
| 0,27 | 9607,39 |
| 0,27 | 9607,714 |
| 0,27 | 9607,443 |
| 0,27 | 9608,133 |
| 0,27 | 9607,176 |
| 0,27 | 9607,247 |
| 0,3 | 10617,69 |
| 0,3 | 10617,97 |
| 0,3 | 10617,99 |
| 0,3 | 10617,95 |
| 0,3 | 10617,8 |
| 0,3 | 10617,8 |
| 0,33 | 11627,84 |
| 0,33 | 11628,43 |
| 0,33 | 11628,01 |
| 0,33 | 11628,33 |
| 0,33 | 11628,34 |
| 0,33 | 11628,1 |
| 0,36 | 12637,93 |
| 0,36 | 12638,12 |
| 0,36 | 12638,54 |
| 0,36 | 12638,19 |
| 0,36 | 12638,63 |
| 0,36 | 12638,32 |
A seguir, calculamos o limite de quantificação através do software Action Stat e obtemos os seguintes resultados:
- Primeiramente apresentamos a função limite de quantificação no Action Stat.
(imagem em falta)
- O próximo passo é preencher a janela do limite de quantificação
(imagem em falta)
A seguir, apresentamos os resultados obtidos pelo software Action Stat.
(imagem em falta)
(imagem em falta)
Com isso, vamos calcular o limite de quantificação:
$$LQ=\frac{10\sigma_{\text{resíduos}}}{\widehat{\beta}_1}=\frac{10\times 0,278311917}{33675,66936}=8,26\times 10^{-5}$$
1.1.7 - Robustez
Nesta seção, vamos analisar a robustez, segundo critérios da RDC Nº166. Nela a robustez é definida como indicação da capacidade de um método analítico em resistir a pequenas e deliberadas variações dos parâmetros analíticos. Para a determinação da robustez do método devem ser avaliados, no mínimo, os parâmetros descritos na Tabela 1 do anexo III.

Tabela 1: Parâmetros para a avaliação da robustez do método.

Tabela 2: Preencimento do critério de aceitação.

Tabela 3: Dados para Robustez.
Em algumas situações o número de combinações dos fatores do experimento é grande. Nestes casos, recursos podem estar disponíveis apenas para uma única execução do projeto, ou seja, o experimento não possuirá réplicas. Existem alguns métodos para tratarem estes experimento, dentre eles citamos os métodos de Daniel e Lenth que são métodos objetivos para decidir quais efeitos são significativos na análise de experimentos sem réplicas, nas situações em que o modelo está saturado e assim, não há graus de liberdade para estimar a variância do erro.
O teste de Youden permite avaliar se modificações no método causam diferenças significativas. Outro ponto que pode ser avaliado neste método, é que podemos ordenar se uma combinação de influências podem causar diferenças significativas nos resultados finais.
Neste método são realizados oito ensaios separadamente, visando determinar quais efeitos das diferentes etapas no procedimento analítico afetam o resultado. A tabela de planejamento pelo método de Youden é dado por:

Em cada parâmetro analítico da tabela, definimos o nível alto (letra maiúscula) como (+) e o nível baixo (letra minúscula) como (-). Assim, obtemos a tabela a seguir:

Para análisar o Experimento de Youden seguimos os seguintes passos:
-
Calculamos os efeitos apara cada parâmetro analítico;
-
Utilizamos o método de Lenth e o gráfico de Daniel para avaliar se os efeitos ativos são significativos.
Gráfico de Daniel
No estudo de experimento fatoriais sem réplicas Cuthbert Daniel (1959) propôs um método que avalia estes efeitos ativos.
A ideia de Daniel é bastante utilizada até os dias atuais por ser simples e conseguir apontar a direção correta dos efeitos em grande parte dos experimentos. Segundo Daniel, esperamos que apenas uma pequena fração dos contrastes sejam ativos dentre todos aqueles envolvidos no estudo. Nestes gráficos, os efeitos cujos pontos estiverem claramente afastados de uma reta imaginária, formada pela nuvem de pontos, serão julgados ativos.
A aplicação eficaz desses gráficos depende do fato das estimativas dos efeitos terem a mesma variância, e os pontos em que temos “efeitos esparsos” são detectados pelo método.
Definição 1.8.1

$$\left(\hat{c}_{(i)}, \Phi^{-1}\left(\frac{(i-0,5)}{n}\right)\right)$$
em que $ \Phi^{-1} $ representa a função da distribuição acumulada normal padrão.
Alguns autores preferem utilizar o gráfico half-normal cujas coordenadas são dadas por:
$$\left(|\hat{c}_{(i)}|, \Phi^{-1}\left(0,5+\frac{(i-0,5)}{n}\right)\right)$$
Uma das vantagens em utilizar o half-normal é o fat ode que os efeitos possivelmente ativos vão se apresentar no canto superior direito do gráfico.
Método de Lenth
O método de Lenth tem sido considerado como um método muito eficiênte, quando trabalhamos com análise de experimentos fatoriais sem réplicas. Um ponto para análise destes experimentos, é o estudo de um número grande de contrastes e que as estimativas destes contrastes tenham a mesma variabilidade.
O método de Lenth, assim como Daniel, parte do princípio de que tenhamos apenas poucos “efeitos esparsos'' (efeitos dispersos), que o autor trata como efeitos ativos (diferente de zero), ou seja, efeitos significativamente não nulos do ponto de vista estatístico.
Definição 1.8.2
Considere um experimento fatorial com dois níveis e suponha que existam $ m $$ k_1,k_2,\dots,k_m $ contrastes $ c_1,c_2,\dots,c_m $ ou efeitos estimados independentes e que eles têm a mesma variância, denotada por $ \tau^2 $ com distribuição Normal $ N(k_i,\sigma^2). $ Sendo $ N $ o número de observações, por exemplo, temos que $ m=N-1 $ no caso de modelo saturado. Desta forma, temos que cada contraste ou efeito estimado é dado por
$$c=\overline{y_{+}}-\overline{y_{-}},$$
sendo que $ \overline{y_{+}} $ é a média das $ N/2 $ observações no nível “alto'' do fator em questão e $ \overline{y_{-}} $ é a média das $ N/2 $ observações no nível “baixo''. Como já mencionado, cada contraste tem a mesma variância $ \tau^2=4 \sigma^2/N $, em que $ \sigma^2 $ é a variância do erro.
Sejam $ c_{1}, c_{2}, …, c_{m} $ os contrastes ou efeitos estimados, com $ m=N-1 $. Inicialmente, calculamos a quantidade
$$s_{0}=1,5 \times \text{mediana} (|c_{j}|)\quad j=1,\dots,m.$$
Então, calculamos o pseudo erro padrão (PSE) como sendo
$$|c_{j}|\leq2,5 s_{0})\quad j=1,\dots,m,$$
(há elementos em falta na equação acima)
sendo que o termo PSE é um estimador para $ \tau^2. $ Notamos que $ s_0 $ e $ PSE $ são bastante similares, com uma pequena diferença na mediana do $ PSE, $ que é mais restrita. Esta restrição é devido aos pontos ativos e é descrita no artigo Russel Lenth (1989), que é feita para obtermos estimativas consistentes para $ \tau. $
Em relação ao critério de decisão de quais efeitos são significativos, definimos uma margem de erro dos contrastes $ c_{i} $, denotada por ME. O valor da margem de erro é dada por
$$ME = t_{(1-\frac{\alpha}{2};d)} \times PSE,$$
sendo que $ t_{(1-\frac{\alpha}{2};d)} $ é o quantil $ (1-\frac{\alpha}{2}) $ da distribuição t-student com $ d $ graus de liberdade e $ \alpha $ é o nível de significância adotado. (Geralmente, utilizamos $ d=m/3 $ e $ \alpha=0,05 $). Assim, temos que ME é uma margem de erro para $ c_i $ com confiança aproximada de $ 95(porcentagem) $. Contrastes que excedem o valor de ME em valor absoluto são considerados significativos com nível de significância de $ 95(porcentagem) $, por exemplo.
Entretanto, quando há um grande número de contrastes $ m $, esperamos que uma ou duas estimativas de contrastes não significativos excedam o valor de ME, conduzindo a uma falsa conclusão. Desta forma, a fim de tratar estes casos, é definida uma margem de erro simultânea, que será denotada por SME. Esta medida é calculada multiplicando o pseudo erro padrão PSE por um fator $ t_{\gamma;d} $. De fato,
$$SME = t_{\gamma;d} \times PSE,$$
em que
$$\gamma=(1+0,95^{1/m})/2.$$
A constante $ \gamma $ vem do fato de que as estimativas dos contrastes são independentes. É usual construir um gráfico para exibir as informações aqui calculadas. Para isto, construímos um gráfico de barra mostrando os valores absolutos das estimativas dos contrastes ou efeitos estimados e adicionamos linhas de referências com os valores de ME e SME. Os contrastes cujas barras estendem a linha SME são considerados ativos. Já aqueles cujas barras não estendem a linha de referência ME são considerados inativos. Os contrastes cujas barras estão entre as linhas de referências ME e SME requerem um cuidado maior na decisão. A região entre as linhas ME e SME é dita região de incerteza e é necessário um bom argumento para decidir se o(s) contraste(s) é(são) significativo(s) ou não.
Critérios para avaliar os efeitos
- Intervalo de Confiança:
O efeito é aceitável ao nível de significância $ \alpha $ se o efeito pertencer ao intervalo de confiança $ (1-\alpha )\times $ 100% com limites:
- $ LI=\hat{c}_j-ME,\quad \text{Limite Inferior} $
- $ LS=\hat{c}_j+ME,\quad \text{Limite Superior}\quad j=1,\dots,m $
- Teste de Hipóteses:
Outro modo de avaliarmos os efeitos, é através do teste de hipóteses:

Para isto, calculamos a estatística de Lenth, dada por:
$$T_{L_j}=\frac{|\hat{c}_j|}{PSE}\sim t_{(d)},\quad j=1,\dots,k$$
sendo $ PSE $ o pseudo erro padrão, $ d $ o número de contrastes dividido por 3 e $ t_{(d)} $ a distribuição t-Student com $ d $ graus de liberdade. Portanto, obtemos a seguinte regra de decisão para um nível de significância $ \alpha. $
- Se $ |T_{L_j}| > t_{(d;1-\alpha/2)} $ rejeitamos $ H_0, $ ou seja, o efeito é significativo do ponto de vista estatístico;
- Se $ |T_{L_j}| \leq t_{(d;1-\alpha/2)} $ não rejeitamos $ H_0, $ ou seja, efeito não é significativo do ponto de vista estatístico.
- P-valor:
representa o menor nível de significância para o qual rejeitamos $ H_0 $. Logo, para um nível de significância = 0,05 adotado, rejeitamos $ H_0 $ se o P-valor obtido for menor que 0,05, enquanto que não rejeitamos $ H_0 $ se o P-valor for maior que 0,05. Para o teste t, o P-valor é calculado na forma
$$\text{p-valor}=2\times P[t_d>|T_{L_j}|~|~H_0]$$
Com isso, rejeitamos $ H_0 $ quando o p-valor for menor que o nível de significância $ \alpha $ proposto (usualmente 0,05), caso contrário (p-valor > $ \alpha $) não rejeitamos $ H_0. $
Exemplo 1.8.1
A seguir, apresentamos os dados coletados. Sete parâmetros analíticos foram selecionados e pequenas variações foram induzidas nos valores nominais do método.

Tabela 3.3.3: Parâmetros analíticos.
Utilizando o experimento de Youden obtemos a seguinte tabela:
| P1 | P2 | P3 | P4 | P5 | P6 | P7 | Resposta |
|---|---|---|---|---|---|---|---|
| 1 | 1 | 1 | 1 | 1 | 1 | 1 | 99,63 |
| 1 | 1 | -1 | 1 | -1 | -1 | -1 | 99,8 |
| 1 | -1 | 1 | -1 | 1 | -1 | -1 | 99,85 |
| 1 | -1 | -1 | -1 | -1 | 1 | 1 | 99,63 |
| -1 | 1 | 1 | -1 | -1 | 1 | -1 | 99,48 |
| -1 | 1 | -1 | -1 | 1 | -1 | 1 | 99,64 |
| -1 | -1 | 1 | 1 | -1 | -1 | 1 | 99,6 |
| -1 | -1 | -1 | 1 | 1 | 1 | -1 | 99,51 |
Tabela 3.3.4: Conjunto de dados.
A seguir, calculamos o limite de detecção através do software Action Stat e obtemos os seguintes resultados:
- Primeiramente acessamos a Análise de Robustes no Action Stat através do menu: Action Stat -> Validação de Metodologia -> Robustez -> Análise
(imagem em falta)
- O próximo passo é preencher a janela da análise de robustez. Selecionamos os dados e clicamos no botão Ler. Depois basta indicar qual é a coluna com a variável resposta e montar a formula completa. Clicamos em Ok e obtemos os resultados.
(imagem em falta)
A seguir, apresentamos os resultados obtidos pelo software Action Stat.
(imagem em falta)
Tabela 1: Resultados do experimento fatorial sem réplicas.
(imagem em falta)
Tabela 2: Valores dos efeitos em módulo versus escores da distribuição Half-Normal,
(imagem em falta)
Figura 1: Lenth Plot para robustez.
(imagem em falta)
Figura 2: Daniel plot para robustez.
Das figuras 1 e 2 , temos indícios que os parâmetros P1 e P6 interferem no método. Agora, testamos as hipóteses:

Da tabela 1 obtemos que os parâmetros P1 e P6 interferem no método ao nível de signficância de 5%. Portanto, a menos dos parâmetros P1 e P6, o método é robusto.
1.2- Referências Bibliográficas
[1] BRASIL ANVISA. Agência Nacional de Vigilância Sanitária. Resolução da Diretoria Colegiada - RDC Nº 166, 24/07/2017 . Guia para validação de métodos analíticos - Julho, 2017.
[2] González, A. Gustavo, and M. Ángeles Herrador. “A practical guide to analytical method validation, including measurement uncertainty and accuracy profiles.” TrAC Trends in Analytical Chemistry 26.3 (2007): 227-238.
[3] DOQ-CGCRE 008, INMETRO. “Orientações sobre Validação de Métodos de Ensaios Químicos.” Rio de Janeiro. Brasil (2018), Revisão 7.
[4] Ministério da Agricultura, Pecuária e Abastecimento (MAPA), Guia: Validação e Controle de Qualidade Analítica (Fármacos em Produtos para Alimentação Animal e Medicamentos Veterinários), Brasília, 2011.
[5] Ministério da Agricultura, Pecuária e Abastecimento (MAPA), Manual de Garantia da Qualidade Analítica, Brasília, 2011.
[6] Guedes, Terezinha Aparecida, Ivan Ludgero Ivanqui, and Ana Beatriz Tozzo Martins. “Comparando equações de regressão em dados de saúde.” Acta Scientiarum. Technology 23 (2008): 1531-1535.
[7] AOAC Peer-Verified Methods Program, Manual on Policies and Procedures (1998) AOAC INTERNATIONAL, Rockville, MD, USA.